Grant of Conservation Restriction (Transition Area Waiver) - New Jersey

Notification Icon This version of the form is not currently in use and is provided for reference only. Download this version of the document for the current year.

Grant of Conservation Restriction (Transition Area Waiver) - New Jersey

Grant of Conservation Restriction (Transition Area Waiver) is a legal document that was released by the New Jersey Department of Environmental Protection - a government authority operating within New Jersey.

FAQ

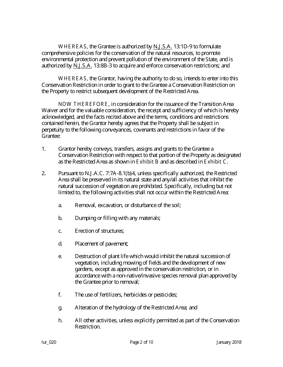
Q: What is a Grant of Conservation Restriction?
A: A Grant of Conservation Restriction is a legal agreement that restricts the use of land to protect its natural features or cultural resources.

Q: What is a Transition Area Waiver?
A: A Transition Area Waiver allows for limited development within a designated transition area between developed and undeveloped land.

Q: What is the purpose of a Grant of Conservation Restriction (Transition Area Waiver) in New Jersey?
A: The purpose is to balance the need for development with the protection of natural resources and to ensure responsible land use.

Q: Who can grant a Conservation Restriction in New Jersey?
A: Conservation Restriction can be granted by private landowners, non-profit organizations, or government agencies.

Q: What are the benefits of a Conservation Restriction?
A: The benefits include the preservation of scenic views, protection of wildlife habitats, maintenance of water quality, and protection of cultural and historic resources.

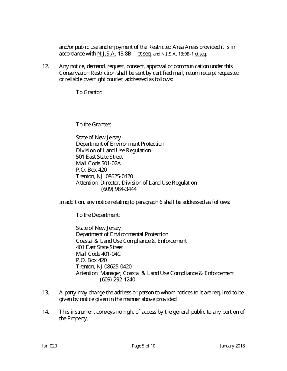
Q: How is a Conservation Restriction enforced?
A: A Conservation Restriction is typically enforced through regular monitoring and inspections by the grantee or an authorized agency.

Q: Can a Conservation Restriction be modified or terminated?
A: In some cases, a Conservation Restriction can be modified or terminated with the approval of a court or the agency that holds the restriction.

Q: Are there financial incentives for granting a Conservation Restriction?
A: Yes, there may be financial incentives such as tax benefits or grants available for landowners who grant a Conservation Restriction.

ADVERTISEMENT

Form Details:

  • Released on January 1, 2018;
  • The latest edition currently provided by the New Jersey Department of Environmental Protection;
  • Ready to use and print;
  • Easy to customize;
  • Compatible with most PDF-viewing applications;
  • Fill out the form in our online filing application.

Download a printable version of the form by clicking the link below or browse more documents and templates provided by the New Jersey Department of Environmental Protection.

Download Grant of Conservation Restriction (Transition Area Waiver) - New Jersey

4.6 of 5 (17 votes)
  • Grant of Conservation Restriction (Transition Area Waiver) - New Jersey

    1

  • Grant of Conservation Restriction (Transition Area Waiver) - New Jersey, Page 2

    2

  • Grant of Conservation Restriction (Transition Area Waiver) - New Jersey, Page 3

    3

  • Grant of Conservation Restriction (Transition Area Waiver) - New Jersey, Page 4

    4

  • Grant of Conservation Restriction (Transition Area Waiver) - New Jersey, Page 5

    5

  • Grant of Conservation Restriction (Transition Area Waiver) - New Jersey, Page 6

    6

  • Grant of Conservation Restriction (Transition Area Waiver) - New Jersey, Page 7

    7

  • Grant of Conservation Restriction (Transition Area Waiver) - New Jersey, Page 8

    8

  • Grant of Conservation Restriction (Transition Area Waiver) - New Jersey, Page 9

    9

  • Grant of Conservation Restriction (Transition Area Waiver) - New Jersey, Page 10

    10

  • Grant of Conservation Restriction (Transition Area Waiver) - New Jersey, Page 1
  • Grant of Conservation Restriction (Transition Area Waiver) - New Jersey, Page 2
  • Grant of Conservation Restriction (Transition Area Waiver) - New Jersey, Page 3
  • Grant of Conservation Restriction (Transition Area Waiver) - New Jersey, Page 4
  • Grant of Conservation Restriction (Transition Area Waiver) - New Jersey, Page 5
  • Grant of Conservation Restriction (Transition Area Waiver) - New Jersey, Page 6
  • Grant of Conservation Restriction (Transition Area Waiver) - New Jersey, Page 7
  • Grant of Conservation Restriction (Transition Area Waiver) - New Jersey, Page 8
  • Grant of Conservation Restriction (Transition Area Waiver) - New Jersey, Page 9
  • Grant of Conservation Restriction (Transition Area Waiver) - New Jersey, Page 10
Prev 1 2 3 4 5 ... 10 Next
ADVERTISEMENT