NJDMAVA Form 906 Organizational Maintenance Unit Sheet - New Jersey

NJDMAVA Form 906 Organizational Maintenance Unit Sheet - New Jersey

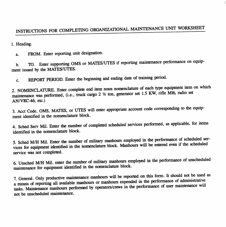
What Is NJDMAVA Form 906?

This is a legal form that was released by the New Jersey Department of Military & Veterans Affairs - a government authority operating within New Jersey. As of today, no separate filing guidelines for the form are provided by the issuing department.

FAQ

Q: What is NJDMAVA Form 906?
A: NJDMAVA Form 906 is the Organizational Maintenance Unit Sheet used in New Jersey.

Q: What is the purpose of NJDMAVA Form 906?
A: The purpose of NJDMAVA Form 906 is to provide a record of unit maintenance activities in New Jersey.

Q: Who uses NJDMAVA Form 906?
A: NJDMAVA Form 906 is used by organizational maintenance units in New Jersey.

Q: What information is recorded on NJDMAVA Form 906?
A: NJDMAVA Form 906 records information such as equipment maintenance, repair actions, and inspection results.

Q: Why is NJDMAVA Form 906 important?
A: NJDMAVA Form 906 is important for maintaining proper documentation of maintenance activities and ensuring equipment readiness in New Jersey.

ADVERTISEMENT

Form Details:

  • Released on August 1, 1992;
  • The latest edition provided by the New Jersey Department of Military & Veterans Affairs;
  • Easy to use and ready to print;
  • Quick to customize;
  • Compatible with most PDF-viewing applications;
  • Fill out the form in our online filing application.

Download a printable version of NJDMAVA Form 906 by clicking the link below or browse more documents and templates provided by the New Jersey Department of Military & Veterans Affairs.

Download NJDMAVA Form 906 Organizational Maintenance Unit Sheet - New Jersey

4.6 of 5 (14 votes)
  • NJDMAVA Form 906 Organizational Maintenance Unit Sheet - New Jersey

    1

  • NJDMAVA Form 906 Organizational Maintenance Unit Sheet - New Jersey, Page 2

    2

  • NJDMAVA Form 906 Organizational Maintenance Unit Sheet - New Jersey, Page 1
  • NJDMAVA Form 906 Organizational Maintenance Unit Sheet - New Jersey, Page 2
Prev 1 2 Next
ADVERTISEMENT