Form DC74A Contractor's Financial and Equipment Statement Experience Questionnaire and Past Performance Record - New Jersey

Form DC74A Contractor's Financial and Equipment Statement Experience Questionnaire and Past Performance Record - New Jersey

What Is Form DC74A?

This is a legal form that was released by the New Jersey Department of Transportation - a government authority operating within New Jersey. As of today, no separate filing guidelines for the form are provided by the issuing department.

FAQ

Q: What is Form DC74A?
A: Form DC74A is Contractor's Financial and Equipment Statement Experience Questionnaire and Past Performance Record.

Q: What is the purpose of Form DC74A?
A: The purpose of Form DC74A is to gather information about a contractor's financial and equipment capabilities, as well as their past performance.

Q: Who needs to fill out Form DC74A?
A: Contractors in New Jersey who are bidding on construction projects may be required to fill out Form DC74A.

Q: What kind of information is required on Form DC74A?
A: Form DC74A requires information about the contractor's financial status, equipment owned or leased, and past performance on similar projects.

ADVERTISEMENT

Form Details:

  • Released on December 1, 2018;
  • The latest edition provided by the New Jersey Department of Transportation;
  • Easy to use and ready to print;
  • Quick to customize;
  • Compatible with most PDF-viewing applications;
  • Fill out the form in our online filing application.

Download a fillable version of Form DC74A by clicking the link below or browse more documents and templates provided by the New Jersey Department of Transportation.

Download Form DC74A Contractor's Financial and Equipment Statement Experience Questionnaire and Past Performance Record - New Jersey

4.8 of 5 (18 votes)
  • Form DC74A Contractor's Financial and Equipment Statement Experience Questionnaire and Past Performance Record - New Jersey

    1

  • Form DC74A Contractor's Financial and Equipment Statement Experience Questionnaire and Past Performance Record - New Jersey, Page 2

    2

  • Form DC74A Contractor's Financial and Equipment Statement Experience Questionnaire and Past Performance Record - New Jersey, Page 3

    3

  • Form DC74A Contractor's Financial and Equipment Statement Experience Questionnaire and Past Performance Record - New Jersey, Page 4

    4

  • Form DC74A Contractor's Financial and Equipment Statement Experience Questionnaire and Past Performance Record - New Jersey, Page 5

    5

  • Form DC74A Contractor's Financial and Equipment Statement Experience Questionnaire and Past Performance Record - New Jersey, Page 6

    6

  • Form DC74A Contractor's Financial and Equipment Statement Experience Questionnaire and Past Performance Record - New Jersey, Page 7

    7

  • Form DC74A Contractor's Financial and Equipment Statement Experience Questionnaire and Past Performance Record - New Jersey, Page 8

    8

  • Form DC74A Contractor's Financial and Equipment Statement Experience Questionnaire and Past Performance Record - New Jersey, Page 9

    9

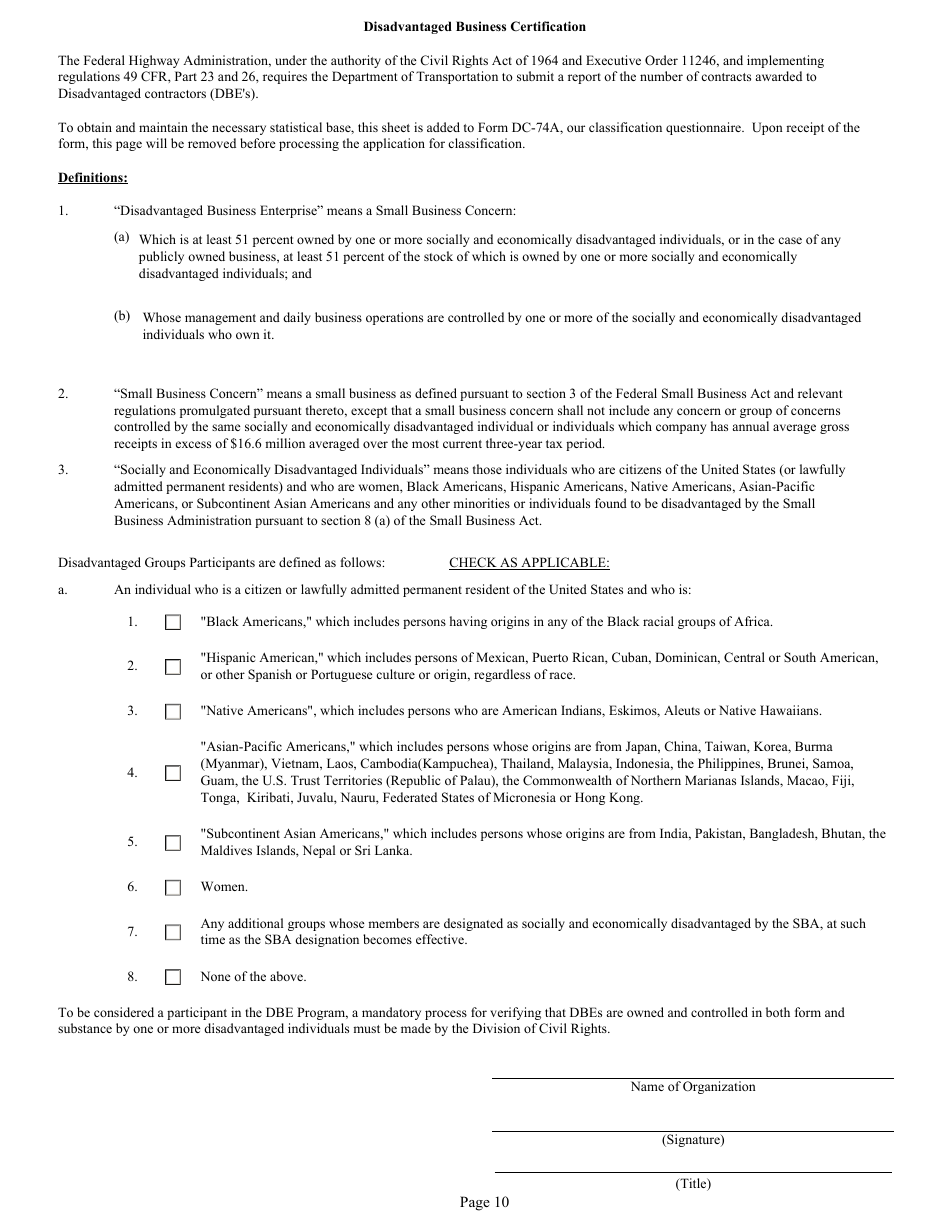
  • Form DC74A Contractor's Financial and Equipment Statement Experience Questionnaire and Past Performance Record - New Jersey, Page 10

    10

  • Form DC74A Contractor's Financial and Equipment Statement Experience Questionnaire and Past Performance Record - New Jersey, Page 11

    11

  • Form DC74A Contractor's Financial and Equipment Statement Experience Questionnaire and Past Performance Record - New Jersey, Page 12

    12

  • Form DC74A Contractor's Financial and Equipment Statement Experience Questionnaire and Past Performance Record - New Jersey, Page 13

    13

  • Form DC74A Contractor's Financial and Equipment Statement Experience Questionnaire and Past Performance Record - New Jersey, Page 14

    14

  • Form DC74A Contractor's Financial and Equipment Statement Experience Questionnaire and Past Performance Record - New Jersey, Page 15

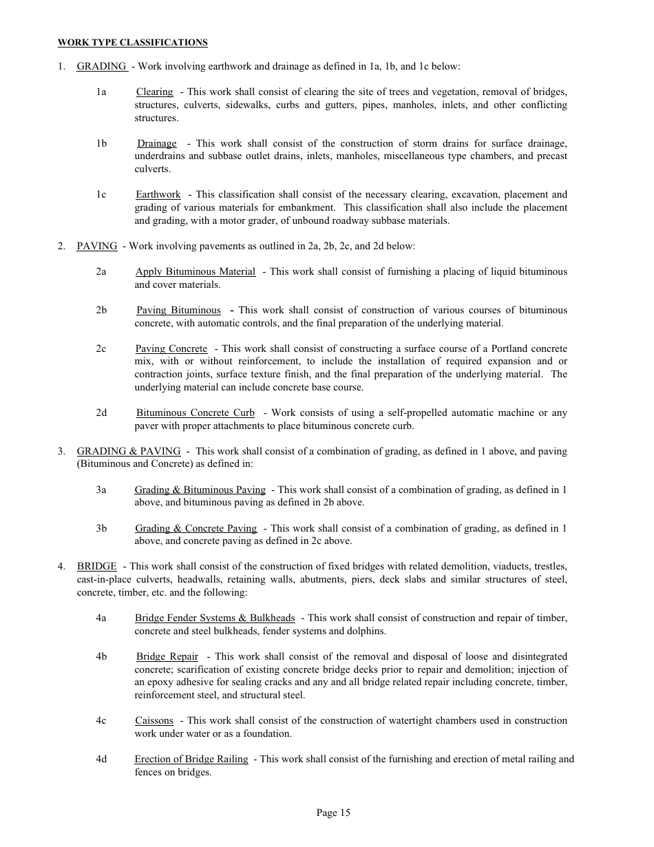
    15

  • Form DC74A Contractor's Financial and Equipment Statement Experience Questionnaire and Past Performance Record - New Jersey, Page 16

    16

  • Form DC74A Contractor's Financial and Equipment Statement Experience Questionnaire and Past Performance Record - New Jersey, Page 17

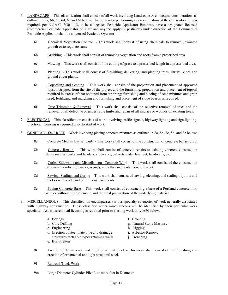
    17

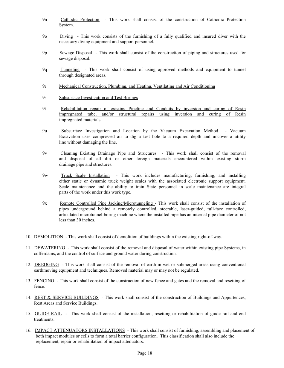
  • Form DC74A Contractor's Financial and Equipment Statement Experience Questionnaire and Past Performance Record - New Jersey, Page 18

    18

  • Form DC74A Contractor's Financial and Equipment Statement Experience Questionnaire and Past Performance Record - New Jersey, Page 19

    19

  • Form DC74A Contractor's Financial and Equipment Statement Experience Questionnaire and Past Performance Record - New Jersey, Page 20

    20

  • Form DC74A Contractor's Financial and Equipment Statement Experience Questionnaire and Past Performance Record - New Jersey, Page 21

    21

  • Form DC74A Contractor's Financial and Equipment Statement Experience Questionnaire and Past Performance Record - New Jersey, Page 22

    22

  • Form DC74A Contractor's Financial and Equipment Statement Experience Questionnaire and Past Performance Record - New Jersey, Page 23

    23

  • Form DC74A Contractors Financial and Equipment Statement Experience Questionnaire and Past Performance Record - New Jersey, Page 1
  • Form DC74A Contractors Financial and Equipment Statement Experience Questionnaire and Past Performance Record - New Jersey, Page 2
  • Form DC74A Contractors Financial and Equipment Statement Experience Questionnaire and Past Performance Record - New Jersey, Page 3
  • Form DC74A Contractors Financial and Equipment Statement Experience Questionnaire and Past Performance Record - New Jersey, Page 4
  • Form DC74A Contractors Financial and Equipment Statement Experience Questionnaire and Past Performance Record - New Jersey, Page 5
  • Form DC74A Contractors Financial and Equipment Statement Experience Questionnaire and Past Performance Record - New Jersey, Page 6
  • Form DC74A Contractors Financial and Equipment Statement Experience Questionnaire and Past Performance Record - New Jersey, Page 7
  • Form DC74A Contractors Financial and Equipment Statement Experience Questionnaire and Past Performance Record - New Jersey, Page 8
  • Form DC74A Contractors Financial and Equipment Statement Experience Questionnaire and Past Performance Record - New Jersey, Page 9
  • Form DC74A Contractors Financial and Equipment Statement Experience Questionnaire and Past Performance Record - New Jersey, Page 10
  • Form DC74A Contractors Financial and Equipment Statement Experience Questionnaire and Past Performance Record - New Jersey, Page 11
  • Form DC74A Contractors Financial and Equipment Statement Experience Questionnaire and Past Performance Record - New Jersey, Page 12
  • Form DC74A Contractors Financial and Equipment Statement Experience Questionnaire and Past Performance Record - New Jersey, Page 13
  • Form DC74A Contractors Financial and Equipment Statement Experience Questionnaire and Past Performance Record - New Jersey, Page 14
  • Form DC74A Contractors Financial and Equipment Statement Experience Questionnaire and Past Performance Record - New Jersey, Page 15
  • Form DC74A Contractors Financial and Equipment Statement Experience Questionnaire and Past Performance Record - New Jersey, Page 16
  • Form DC74A Contractors Financial and Equipment Statement Experience Questionnaire and Past Performance Record - New Jersey, Page 17
  • Form DC74A Contractors Financial and Equipment Statement Experience Questionnaire and Past Performance Record - New Jersey, Page 18
  • Form DC74A Contractors Financial and Equipment Statement Experience Questionnaire and Past Performance Record - New Jersey, Page 19
  • Form DC74A Contractors Financial and Equipment Statement Experience Questionnaire and Past Performance Record - New Jersey, Page 20
  • Form DC74A Contractors Financial and Equipment Statement Experience Questionnaire and Past Performance Record - New Jersey, Page 21
  • Form DC74A Contractors Financial and Equipment Statement Experience Questionnaire and Past Performance Record - New Jersey, Page 22
  • Form DC74A Contractors Financial and Equipment Statement Experience Questionnaire and Past Performance Record - New Jersey, Page 23
Prev 1 2 3 4 5 ... 23 Next
ADVERTISEMENT