Form 5-M Notice to Liquor Permit Holder of the Circulation of a Local Option Petition - Ohio

Notification Icon This version of the form is not currently in use and is provided for reference only. Download this version of Form 5-M for the current year.

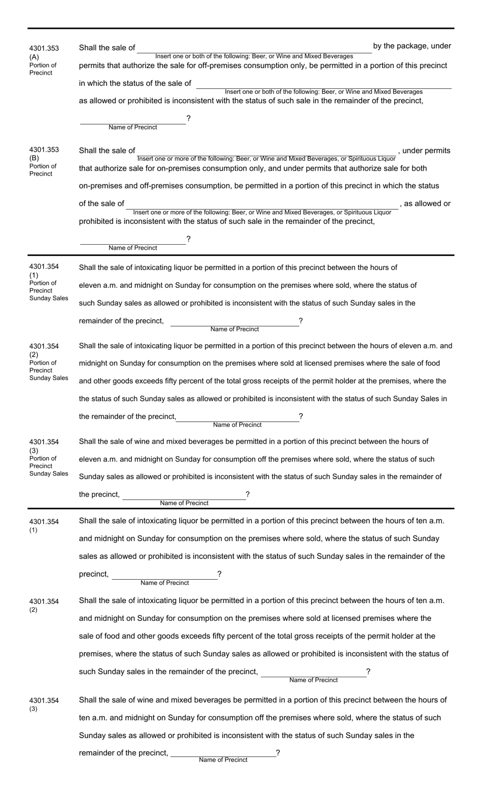
Form 5-M Notice to Liquor Permit Holder of the Circulation of a Local Option Petition - Ohio

What Is Form 5-M?

This is a legal form that was released by the Ohio Secretary of State - a government authority operating within Ohio. As of today, no separate filing guidelines for the form are provided by the issuing department.

FAQ

Q: What is a Form 5-M Notice?
A: A Form 5-M Notice is a notice sent to liquor permit holders in Ohio regarding the circulation of a local option petition.

Q: Who sends the Form 5-M Notice?
A: The Form 5-M Notice is sent by the Ohio Division of Liquor Control.

Q: What is the purpose of the Form 5-M Notice?
A: The purpose of the Form 5-M Notice is to inform liquor permit holders about the circulation of a local option petition that could potentially affect their liquor permit.

Q: What is a local option petition?
A: A local option petition is a petition circulated by residents in a specific area to determine whether certain liquor-related provisions should be changed or amended in that area.

Q: Why is it important for liquor permit holders to receive the Form 5-M Notice?
A: It is important for liquor permit holders to receive the Form 5-M Notice so that they are aware of the local option petition and can take necessary actions or provide input regarding their liquor permit.

Q: What should liquor permit holders do upon receiving the Form 5-M Notice?
A: Liquor permit holders should carefully review the Form 5-M Notice and consider any potential impacts or implications on their liquor permit. They may also choose to participate in the local option petition process or seek legal advice if needed.

Q: Are liquor permit holders required to respond to the Form 5-M Notice?
A: No, liquor permit holders are not required to respond to the Form 5-M Notice. However, it is recommended that they review the notice and consider its implications.

Q: Can liquor permit holders oppose the local option petition?
A: Yes, liquor permit holders can oppose the local option petition by providing input during the petition process or through legal means.

Q: Can liquor permit holders support the local option petition?
A: Yes, liquor permit holders can support the local option petition by participating in the petition process or expressing their support to the appropriate authorities.

ADVERTISEMENT

Form Details:

  • Released on September 1, 2017;
  • The latest edition provided by the Ohio Secretary of State;
  • Easy to use and ready to print;
  • Quick to customize;
  • Compatible with most PDF-viewing applications;
  • Fill out the form in our online filing application.

Download a fillable version of Form 5-M by clicking the link below or browse more documents and templates provided by the Ohio Secretary of State.

Download Form 5-M Notice to Liquor Permit Holder of the Circulation of a Local Option Petition - Ohio

4.8 of 5 (62 votes)
  • Form 5-M Notice to Liquor Permit Holder of the Circulation of a Local Option Petition - Ohio

    1

  • Form 5-M Notice to Liquor Permit Holder of the Circulation of a Local Option Petition - Ohio, Page 2

    2

  • Form 5-M Notice to Liquor Permit Holder of the Circulation of a Local Option Petition - Ohio, Page 3

    3

  • Form 5-M Notice to Liquor Permit Holder of the Circulation of a Local Option Petition - Ohio, Page 1
  • Form 5-M Notice to Liquor Permit Holder of the Circulation of a Local Option Petition - Ohio, Page 2
  • Form 5-M Notice to Liquor Permit Holder of the Circulation of a Local Option Petition - Ohio, Page 3
Prev 1 2 3 Next
ADVERTISEMENT

Related Documents