Form 501 Domestic Production Activities Deduction - New Jersey

Form 501 Domestic Production Activities Deduction - New Jersey

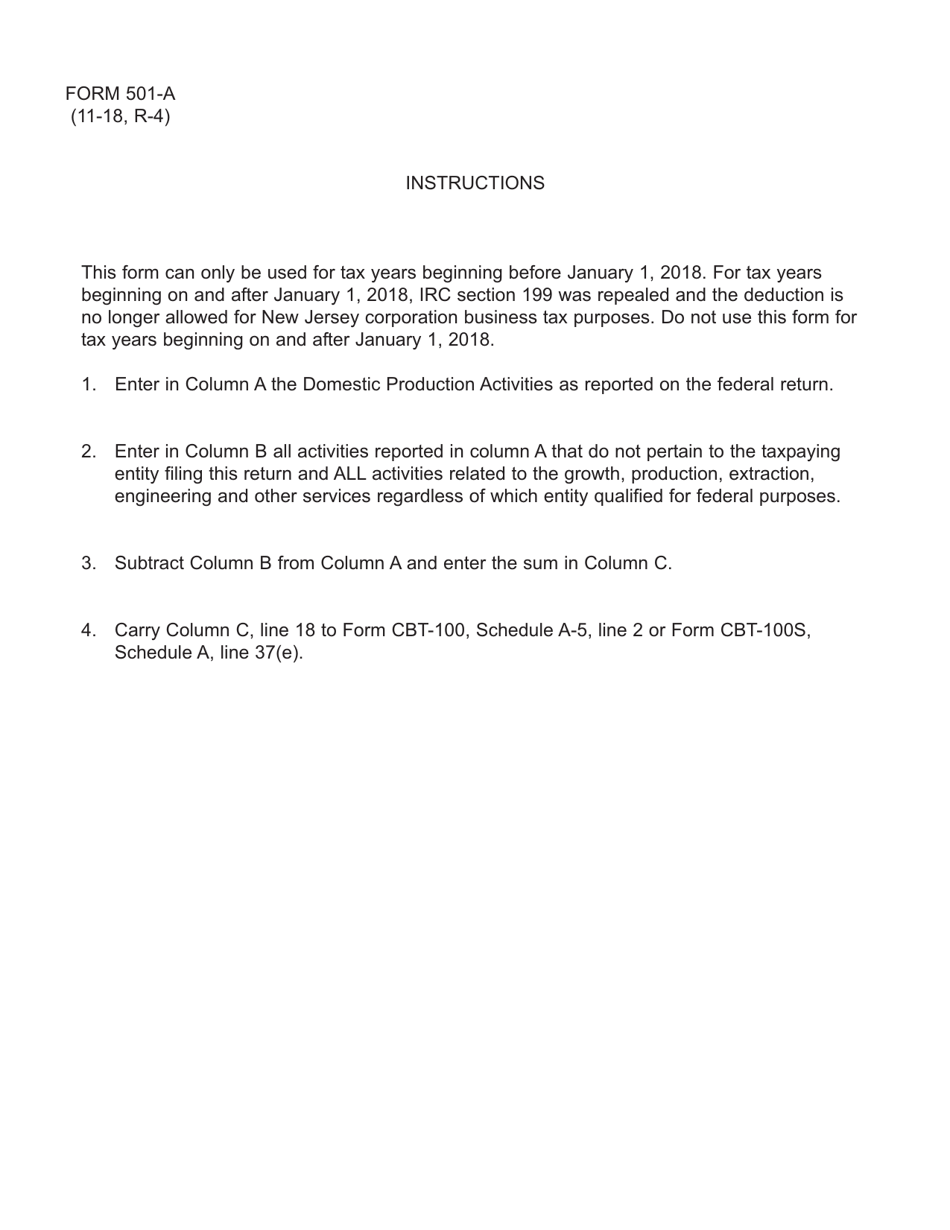
What Is Form 501?

This is a legal form that was released by the New Jersey Department of the Treasury - a government authority operating within New Jersey. As of today, no separate filing guidelines for the form are provided by the issuing department.

FAQ

Q: What is Form 501?
A: Form 501 is used to claim the Domestic Production Activities Deduction.

Q: What is the Domestic Production Activities Deduction?
A: The Domestic Production Activities Deduction is a tax incentive for businesses that produce goods in the United States.

Q: Who can claim the Domestic Production Activities Deduction?
A: Businesses engaged in activities such as manufacturing, construction, engineering, and software development may be eligible to claim this deduction.

Q: What is the purpose of Form 501?
A: Form 501 is used to calculate and report the amount of the Domestic Production Activities Deduction that a business is eligible for.

Q: Is Form 501 specific to New Jersey?
A: No, Form 501 is a federal tax form that is used by businesses nationwide to claim the Domestic Production Activities Deduction.

ADVERTISEMENT

Form Details:

  • Released on November 1, 2018;
  • The latest edition provided by the New Jersey Department of the Treasury;
  • Easy to use and ready to print;
  • Quick to customize;
  • Compatible with most PDF-viewing applications;
  • Fill out the form in our online filing application.

Download a fillable version of Form 501 by clicking the link below or browse more documents and templates provided by the New Jersey Department of the Treasury.

Download Form 501 Domestic Production Activities Deduction - New Jersey

4.6 of 5 (62 votes)
  • Form 501 Domestic Production Activities Deduction - New Jersey

    1

  • Form 501 Domestic Production Activities Deduction - New Jersey, Page 2

    2

  • Form 501 Domestic Production Activities Deduction - New Jersey, Page 1
  • Form 501 Domestic Production Activities Deduction - New Jersey, Page 2
Prev 1 2 Next
ADVERTISEMENT