Form AQM-1001FF Minor Permit Modification and Group Processing of Minor Permit Modification Application - Delaware

Form AQM-1001FF Minor Permit Modification and Group Processing of Minor Permit Modification Application - Delaware

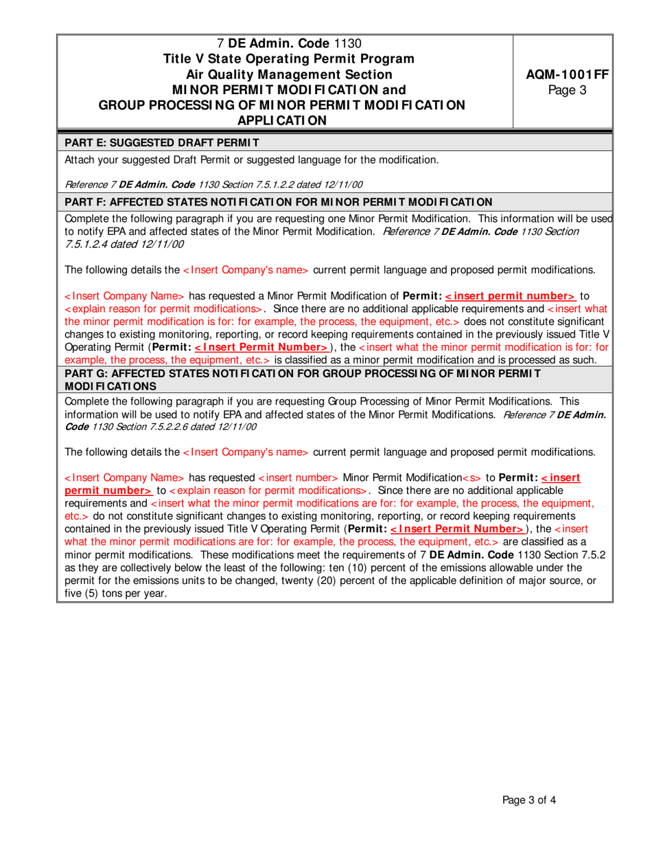
What Is Form AQM-1001FF?

This is a legal form that was released by the Delaware Department of Natural Resources and Environmental Control - a government authority operating within Delaware. As of today, no separate filing guidelines for the form are provided by the issuing department.

FAQ

Q: What is Form AQM-1001FF?
A: Form AQM-1001FF is a document used for minor permit modification and group processing of minor permit modification application in Delaware.

Q: What is a minor permit modification?
A: A minor permit modification refers to changes made to an existing permit that do not significantly impact the operation or emissions of a facility.

Q: What is group processing of minor permit modifications?
A: Group processing of minor permit modifications is a process where multiple minor permit modifications are reviewed and processed together.

Q: Can I use Form AQM-1001FF for major permit modifications?
A: No, Form AQM-1001FF is specifically designed for minor permit modifications only.

Q: What do I need to include in a minor permit modification application?
A: In a minor permit modification application, you need to provide details of the proposed changes, including the reasons for the modification and any potential impacts on emissions.

Q: Who should I contact for more information about Form AQM-1001FF?
A: For more information about Form AQM-1001FF and the minor permit modification process, you can contact the Delaware DNREC.

ADVERTISEMENT

Form Details:

  • The latest edition provided by the Delaware Department of Natural Resources and Environmental Control;
  • Easy to use and ready to print;
  • Quick to customize;
  • Compatible with most PDF-viewing applications;
  • Fill out the form in our online filing application.

Download a printable version of Form AQM-1001FF by clicking the link below or browse more documents and templates provided by the Delaware Department of Natural Resources and Environmental Control.

Download Form AQM-1001FF Minor Permit Modification and Group Processing of Minor Permit Modification Application - Delaware

4.3 of 5 (32 votes)
  • Form AQM-1001FF Minor Permit Modification and Group Processing of Minor Permit Modification Application - Delaware

    1

  • Form AQM-1001FF Minor Permit Modification and Group Processing of Minor Permit Modification Application - Delaware, Page 2

    2

  • Form AQM-1001FF Minor Permit Modification and Group Processing of Minor Permit Modification Application - Delaware, Page 3

    3

  • Form AQM-1001FF Minor Permit Modification and Group Processing of Minor Permit Modification Application - Delaware, Page 4

    4

  • Form AQM-1001FF Minor Permit Modification and Group Processing of Minor Permit Modification Application - Delaware, Page 1
  • Form AQM-1001FF Minor Permit Modification and Group Processing of Minor Permit Modification Application - Delaware, Page 2
  • Form AQM-1001FF Minor Permit Modification and Group Processing of Minor Permit Modification Application - Delaware, Page 3
  • Form AQM-1001FF Minor Permit Modification and Group Processing of Minor Permit Modification Application - Delaware, Page 4
Prev 1 2 3 4 Next
ADVERTISEMENT