Form FGIS-980 Authorization to Use Mechanical Sampler for Sampling

Form FGIS-980 Authorization to Use Mechanical Sampler for Sampling

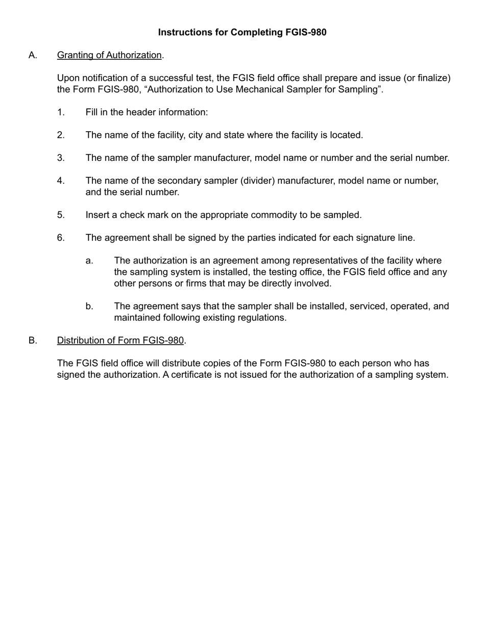
What Is Form FGIS-980?

This is a legal form that was released by the U.S. Department of Agriculture - Agricultural Marketing Service on January 1, 2018 and used country-wide. As of today, no separate filing guidelines for the form are provided by the issuing department.

FAQ

Q: What is Form FGIS-980?
A: Form FGIS-980 is an authorization form.

Q: What is the purpose of Form FGIS-980?
A: The purpose of Form FGIS-980 is to request permission to use a mechanical sampler for sampling purposes.

Q: What is a mechanical sampler?
A: A mechanical sampler is a device used to collect samples.

Q: Who needs to fill out Form FGIS-980?
A: Anyone who wants to use a mechanical sampler for sampling needs to fill out this form.

Q: Are there any fees associated with Form FGIS-980?
A: The presence or absence of fees may vary depending on the agency or authority.

Q: What information needs to be included on Form FGIS-980?
A: Form FGIS-980 requires details such as the type of mechanical sampler, its location, and the purpose for which it will be used.

Q: Is Form FGIS-980 specific to any industry or sector?
A: No, Form FGIS-980 is a general authorization form that can be used across industries and sectors.

Q: How long does it take to process Form FGIS-980?
A: The processing time for Form FGIS-980 may vary depending on the agency or authority responsible for approving it.

Q: What happens after Form FGIS-980 is approved?
A: Once Form FGIS-980 is approved, the applicant will be granted permission to use a mechanical sampler for sampling purposes.

ADVERTISEMENT

Form Details:

  • Released on January 1, 2018;
  • The latest available edition released by the U.S. Department of Agriculture - Agricultural Marketing Service;
  • Easy to use and ready to print;
  • Yours to fill out and keep for your records;
  • Compatible with most PDF-viewing applications;
  • Fill out the form in our online filing application.

Download a printable version of Form FGIS-980 by clicking the link below or browse more documents and templates provided by the U.S. Department of Agriculture - Agricultural Marketing Service.

Download Form FGIS-980 Authorization to Use Mechanical Sampler for Sampling

4.6 of 5 (42 votes)
  • Form FGIS-980 Authorization to Use Mechanical Sampler for Sampling

    1

  • Form FGIS-980 Authorization to Use Mechanical Sampler for Sampling, Page 2

    2

  • Form FGIS-980 Authorization to Use Mechanical Sampler for Sampling, Page 1
  • Form FGIS-980 Authorization to Use Mechanical Sampler for Sampling, Page 2
Prev 1 2 Next
ADVERTISEMENT