Form FGIS-992 Service Performed Report

Form FGIS-992 Service Performed Report

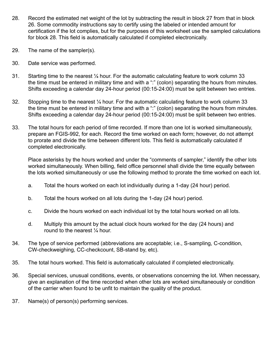
What Is Form FGIS-992?

This is a legal form that was released by the U.S. Department of Agriculture - Agricultural Marketing Service on January 1, 2018 and used country-wide. As of today, no separate filing guidelines for the form are provided by the issuing department.

FAQ

Q: What is FGIS-992?
A: FGIS-992 is a form for reporting the service performed.

Q: What is the purpose of the Service Performed Report?
A: The purpose of the Service Performed Report is to document and communicate the services that have been performed.

Q: Who uses the FGIS-992 form?
A: The FGIS-992 form is typically used by inspectors, auditors, or other professionals involved in performing services.

Q: What information is included in the Service Performed Report?
A: The Service Performed Report includes details about the service performed, such as the date, time, location, and any observations or findings.

Q: How is the FGIS-992 form filled out?
A: The FGIS-992 form is filled out by providing the required information in the designated fields and sections.

Q: Is the FGIS-992 form specific to the USA and Canada?
A: Yes, the FGIS-992 form is specific to the United States and Canada.

Q: Are there any fees associated with submitting the FGIS-992 form?
A: Fees may apply for submitting the FGIS-992 form, depending on the specific service or organization.

Q: What should I do if I have questions or need assistance with the FGIS-992 form?
A: If you have questions or need assistance with the FGIS-992 form, you should contact the regulatory agency or organization responsible for the service.

ADVERTISEMENT

Form Details:

  • Released on January 1, 2018;
  • The latest available edition released by the U.S. Department of Agriculture - Agricultural Marketing Service;
  • Easy to use and ready to print;
  • Yours to fill out and keep for your records;
  • Compatible with most PDF-viewing applications;
  • Fill out the form in our online filing application.

Download a fillable version of Form FGIS-992 by clicking the link below or browse more documents and templates provided by the U.S. Department of Agriculture - Agricultural Marketing Service.

Download Form FGIS-992 Service Performed Report

4.6 of 5 (8 votes)
  • Form FGIS-992 Service Performed Report

    1

  • Form FGIS-992 Service Performed Report, Page 2

    2

  • Form FGIS-992 Service Performed Report, Page 3

    3

  • Form FGIS-992 Service Performed Report, Page 4

    4

  • Form FGIS-992 Service Performed Report, Page 5

    5

  • Form FGIS-992 Service Performed Report, Page 6

    6

  • Form FGIS-992 Service Performed Report, Page 1
  • Form FGIS-992 Service Performed Report, Page 2
  • Form FGIS-992 Service Performed Report, Page 3
  • Form FGIS-992 Service Performed Report, Page 4
  • Form FGIS-992 Service Performed Report, Page 5
  • Form FGIS-992 Service Performed Report, Page 6
Prev 1 2 3 4 5 6 Next
ADVERTISEMENT