FWS Form 3-200-30 Federal Fish and Wildlife Permit Application Form - Export / Re-export / Re-import of Traveling Exhibitions (And Reissuance) Under the Convention on International Trade in Endangered Species (Cites) and / or U.S. Endangered Species Act (Esa)

FWS Form 3-200-30 Federal Fish and Wildlife Permit Application Form - Export / Re-export / Re-import of Traveling Exhibitions (And Reissuance) Under the Convention on International Trade in Endangered Species (Cites) and / or U.S. Endangered Species Act (Esa)

What Is FWS Form 3-200-30?

This is a legal form that was released by the U.S. Department of the Interior - Fish and Wildlife Service on August 1, 2017 and used country-wide. As of today, no separate filing guidelines for the form are provided by the issuing department.

FAQ

Q: What is FWS Form 3-200-30?
A: FWS Form 3-200-30 is a Federal Fish and Wildlife Permit Application Form.

Q: What is the purpose of FWS Form 3-200-30?
A: The purpose of FWS Form 3-200-30 is to apply for a permit for the export/re-export/re-import of traveling exhibitions of endangered species.

Q: Under what international agreement is FWS Form 3-200-30 used?
A: FWS Form 3-200-30 is used under the Convention on International Trade in Endangered Species (CITES).

Q: What other U.S. legislation does FWS Form 3-200-30 relate to?
A: FWS Form 3-200-30 also relates to the U.S. Endangered Species Act (ESA).

Q: Who can use FWS Form 3-200-30?
A: Anyone wanting to export/re-export/re-import traveling exhibitions of endangered species can use FWS Form 3-200-30.

Q: What types of exhibitions are covered by FWS Form 3-200-30?
A: FWS Form 3-200-30 covers traveling exhibitions of endangered species.

Q: Why is a permit required for exporting/re-exporting/re-importin of traveling exhibitions of endangered species?
A: A permit is required to ensure the protection and conservation of endangered species.

ADVERTISEMENT

Form Details:

  • Released on August 1, 2017;
  • The latest available edition released by the U.S. Department of the Interior - Fish and Wildlife Service;
  • Easy to use and ready to print;
  • Yours to fill out and keep for your records;
  • Compatible with most PDF-viewing applications;
  • Fill out the form in our online filing application.

Download a fillable version of FWS Form 3-200-30 by clicking the link below or browse more documents and templates provided by the U.S. Department of the Interior - Fish and Wildlife Service.

Download FWS Form 3-200-30 Federal Fish and Wildlife Permit Application Form - Export / Re-export / Re-import of Traveling Exhibitions (And Reissuance) Under the Convention on International Trade in Endangered Species (Cites) and / or U.S. Endangered Species Act (Esa)

4.3 of 5 (51 votes)
  • FWS Form 3-200-30 Federal Fish and Wildlife Permit Application Form - Export/Re-export/Re-import of Traveling Exhibitions (And Reissuance) Under the Convention on International Trade in Endangered Species (Cites) and/or U.S. Endangered Species Act (Esa)

    1

  • FWS Form 3-200-30 Federal Fish and Wildlife Permit Application Form - Export/Re-export/Re-import of Traveling Exhibitions (And Reissuance) Under the Convention on International Trade in Endangered Species (Cites) and/or U.S. Endangered Species Act (Esa), Page 2

    2

  • FWS Form 3-200-30 Federal Fish and Wildlife Permit Application Form - Export/Re-export/Re-import of Traveling Exhibitions (And Reissuance) Under the Convention on International Trade in Endangered Species (Cites) and/or U.S. Endangered Species Act (Esa), Page 3

    3

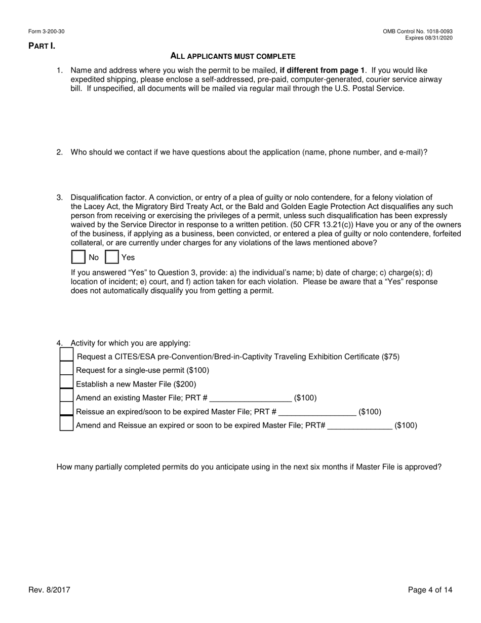
  • FWS Form 3-200-30 Federal Fish and Wildlife Permit Application Form - Export/Re-export/Re-import of Traveling Exhibitions (And Reissuance) Under the Convention on International Trade in Endangered Species (Cites) and/or U.S. Endangered Species Act (Esa), Page 4

    4

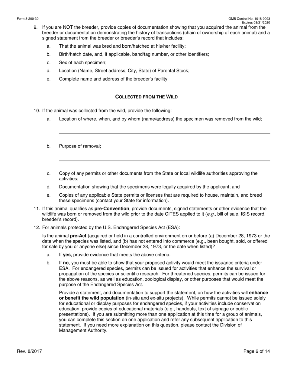
  • FWS Form 3-200-30 Federal Fish and Wildlife Permit Application Form - Export/Re-export/Re-import of Traveling Exhibitions (And Reissuance) Under the Convention on International Trade in Endangered Species (Cites) and/or U.S. Endangered Species Act (Esa), Page 5

    5

  • FWS Form 3-200-30 Federal Fish and Wildlife Permit Application Form - Export/Re-export/Re-import of Traveling Exhibitions (And Reissuance) Under the Convention on International Trade in Endangered Species (Cites) and/or U.S. Endangered Species Act (Esa), Page 6

    6

  • FWS Form 3-200-30 Federal Fish and Wildlife Permit Application Form - Export/Re-export/Re-import of Traveling Exhibitions (And Reissuance) Under the Convention on International Trade in Endangered Species (Cites) and/or U.S. Endangered Species Act (Esa), Page 7

    7

  • FWS Form 3-200-30 Federal Fish and Wildlife Permit Application Form - Export/Re-export/Re-import of Traveling Exhibitions (And Reissuance) Under the Convention on International Trade in Endangered Species (Cites) and/or U.S. Endangered Species Act (Esa), Page 8

    8

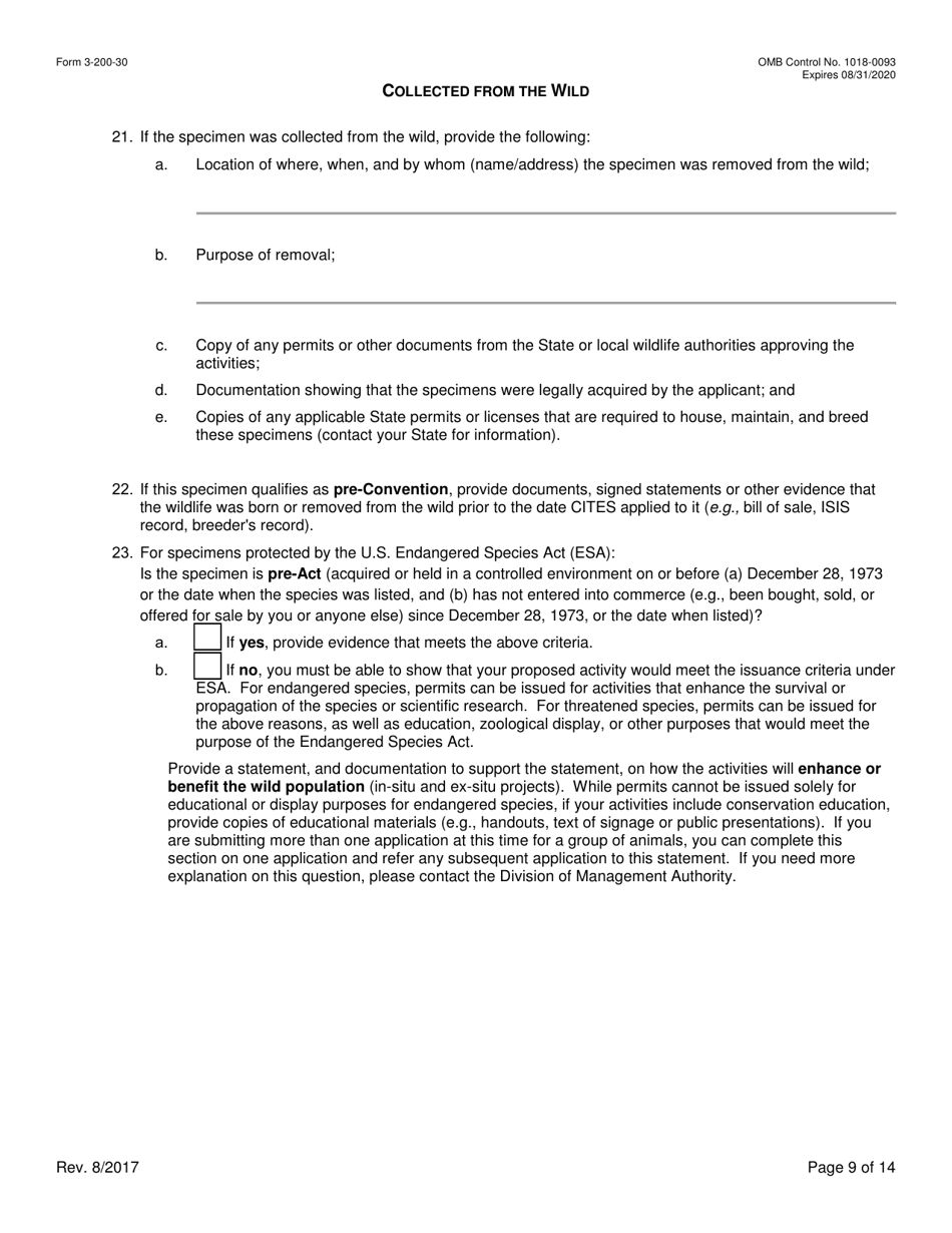
  • FWS Form 3-200-30 Federal Fish and Wildlife Permit Application Form - Export/Re-export/Re-import of Traveling Exhibitions (And Reissuance) Under the Convention on International Trade in Endangered Species (Cites) and/or U.S. Endangered Species Act (Esa), Page 9

    9

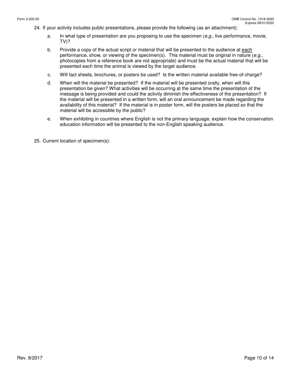
  • FWS Form 3-200-30 Federal Fish and Wildlife Permit Application Form - Export/Re-export/Re-import of Traveling Exhibitions (And Reissuance) Under the Convention on International Trade in Endangered Species (Cites) and/or U.S. Endangered Species Act (Esa), Page 10

    10

  • FWS Form 3-200-30 Federal Fish and Wildlife Permit Application Form - Export/Re-export/Re-import of Traveling Exhibitions (And Reissuance) Under the Convention on International Trade in Endangered Species (Cites) and/or U.S. Endangered Species Act (Esa), Page 11

    11

  • FWS Form 3-200-30 Federal Fish and Wildlife Permit Application Form - Export/Re-export/Re-import of Traveling Exhibitions (And Reissuance) Under the Convention on International Trade in Endangered Species (Cites) and/or U.S. Endangered Species Act (Esa), Page 12

    12

  • FWS Form 3-200-30 Federal Fish and Wildlife Permit Application Form - Export/Re-export/Re-import of Traveling Exhibitions (And Reissuance) Under the Convention on International Trade in Endangered Species (Cites) and/or U.S. Endangered Species Act (Esa), Page 13

    13

  • FWS Form 3-200-30 Federal Fish and Wildlife Permit Application Form - Export/Re-export/Re-import of Traveling Exhibitions (And Reissuance) Under the Convention on International Trade in Endangered Species (Cites) and/or U.S. Endangered Species Act (Esa), Page 14

    14

  • FWS Form 3-200-30 Federal Fish and Wildlife Permit Application Form - Export / Re-export / Re-import of Traveling Exhibitions (And Reissuance) Under the Convention on International Trade in Endangered Species (Cites) and / or U.S. Endangered Species Act (Esa), Page 1
  • FWS Form 3-200-30 Federal Fish and Wildlife Permit Application Form - Export / Re-export / Re-import of Traveling Exhibitions (And Reissuance) Under the Convention on International Trade in Endangered Species (Cites) and / or U.S. Endangered Species Act (Esa), Page 2
  • FWS Form 3-200-30 Federal Fish and Wildlife Permit Application Form - Export / Re-export / Re-import of Traveling Exhibitions (And Reissuance) Under the Convention on International Trade in Endangered Species (Cites) and / or U.S. Endangered Species Act (Esa), Page 3
  • FWS Form 3-200-30 Federal Fish and Wildlife Permit Application Form - Export / Re-export / Re-import of Traveling Exhibitions (And Reissuance) Under the Convention on International Trade in Endangered Species (Cites) and / or U.S. Endangered Species Act (Esa), Page 4
  • FWS Form 3-200-30 Federal Fish and Wildlife Permit Application Form - Export / Re-export / Re-import of Traveling Exhibitions (And Reissuance) Under the Convention on International Trade in Endangered Species (Cites) and / or U.S. Endangered Species Act (Esa), Page 5
  • FWS Form 3-200-30 Federal Fish and Wildlife Permit Application Form - Export / Re-export / Re-import of Traveling Exhibitions (And Reissuance) Under the Convention on International Trade in Endangered Species (Cites) and / or U.S. Endangered Species Act (Esa), Page 6
  • FWS Form 3-200-30 Federal Fish and Wildlife Permit Application Form - Export / Re-export / Re-import of Traveling Exhibitions (And Reissuance) Under the Convention on International Trade in Endangered Species (Cites) and / or U.S. Endangered Species Act (Esa), Page 7
  • FWS Form 3-200-30 Federal Fish and Wildlife Permit Application Form - Export / Re-export / Re-import of Traveling Exhibitions (And Reissuance) Under the Convention on International Trade in Endangered Species (Cites) and / or U.S. Endangered Species Act (Esa), Page 8
  • FWS Form 3-200-30 Federal Fish and Wildlife Permit Application Form - Export / Re-export / Re-import of Traveling Exhibitions (And Reissuance) Under the Convention on International Trade in Endangered Species (Cites) and / or U.S. Endangered Species Act (Esa), Page 9
  • FWS Form 3-200-30 Federal Fish and Wildlife Permit Application Form - Export / Re-export / Re-import of Traveling Exhibitions (And Reissuance) Under the Convention on International Trade in Endangered Species (Cites) and / or U.S. Endangered Species Act (Esa), Page 10
  • FWS Form 3-200-30 Federal Fish and Wildlife Permit Application Form - Export / Re-export / Re-import of Traveling Exhibitions (And Reissuance) Under the Convention on International Trade in Endangered Species (Cites) and / or U.S. Endangered Species Act (Esa), Page 11
  • FWS Form 3-200-30 Federal Fish and Wildlife Permit Application Form - Export / Re-export / Re-import of Traveling Exhibitions (And Reissuance) Under the Convention on International Trade in Endangered Species (Cites) and / or U.S. Endangered Species Act (Esa), Page 12
  • FWS Form 3-200-30 Federal Fish and Wildlife Permit Application Form - Export / Re-export / Re-import of Traveling Exhibitions (And Reissuance) Under the Convention on International Trade in Endangered Species (Cites) and / or U.S. Endangered Species Act (Esa), Page 13
  • FWS Form 3-200-30 Federal Fish and Wildlife Permit Application Form - Export / Re-export / Re-import of Traveling Exhibitions (And Reissuance) Under the Convention on International Trade in Endangered Species (Cites) and / or U.S. Endangered Species Act (Esa), Page 14
Prev 1 2 3 4 5 ... 14 Next
ADVERTISEMENT

Related Documents