FWS Form 3-200-69 License / Permit Application Form: Transport of Bald and Golden Eagles From the U.S. for Scientific or Exhibition Purposes Under Cites

FWS Form 3-200-69 License / Permit Application Form: Transport of Bald and Golden Eagles From the U.S. for Scientific or Exhibition Purposes Under Cites

What Is FWS Form 3-200-69?

This is a legal form that was released by the U.S. Department of the Interior - Fish and Wildlife Service on August 1, 2017 and used country-wide. As of today, no separate filing guidelines for the form are provided by the issuing department.

FAQ

Q: What is FWS Form 3-200-69?
A: FWS Form 3-200-69 is a License/Permit Application Form for transporting Bald and Golden Eagles from the U.S. for scientific or exhibition purposes under CITES.

Q: What is CITES?
A: CITES stands for Convention on International Trade in Endangered Species of Wild Fauna and Flora. It is an international treaty that aims to protect endangered species from overexploitation through international trade.

Q: Who needs to fill out FWS Form 3-200-69?
A: Individuals or organizations who want to transport Bald and Golden Eagles from the U.S. for scientific or exhibition purposes under CITES need to fill out this form.

Q: What are the purposes for which Bald and Golden Eagles can be transported?
A: Bald and Golden Eagles can be transported from the U.S. for scientific or exhibition purposes. These purposes may include research, education, or public display.

Q: What information is required on FWS Form 3-200-69?
A: The form requires information about the applicant, including name, address, and contact details. It also requires details about the purpose of transport, the origin and destination, and information on the eagles to be transported.

Q: Are there any fees associated with the application?
A: Yes, there may be fees associated with the application. The fees vary depending on the type of activity and the number of eagles to be transported. The specific fee amounts can be found in the regulations or by contacting the FWS regional office.

Q: Is a permit required to transport Bald and Golden Eagles from the U.S. under CITES?
A: Yes, a permit is required. FWS Form 3-200-69 serves as the application for this permit. Approval from the U.S. Fish and Wildlife Service is necessary before engaging in the transportation.

Q: What is the purpose of requiring a permit for transporting Bald and Golden Eagles?
A: The permit requirement ensures that the transportation of Bald and Golden Eagles for scientific or exhibition purposes is conducted in a manner that is not detrimental to the species' conservation status.

Q: Can the application for a permit be denied?
A: Yes, the application for a permit can be denied if the applicant fails to provide sufficient information, does not meet the required criteria, or if the transportation would be detrimental to the conservation of the species.

ADVERTISEMENT

Form Details:

  • Released on August 1, 2017;
  • The latest available edition released by the U.S. Department of the Interior - Fish and Wildlife Service;
  • Easy to use and ready to print;
  • Yours to fill out and keep for your records;
  • Compatible with most PDF-viewing applications;
  • Fill out the form in our online filing application.

Download a fillable version of FWS Form 3-200-69 by clicking the link below or browse more documents and templates provided by the U.S. Department of the Interior - Fish and Wildlife Service.

Download FWS Form 3-200-69 License / Permit Application Form: Transport of Bald and Golden Eagles From the U.S. for Scientific or Exhibition Purposes Under Cites

4.8 of 5 (23 votes)
  • FWS Form 3-200-69 License/Permit Application Form: Transport of Bald and Golden Eagles From the U.S. for Scientific or Exhibition Purposes Under Cites

    1

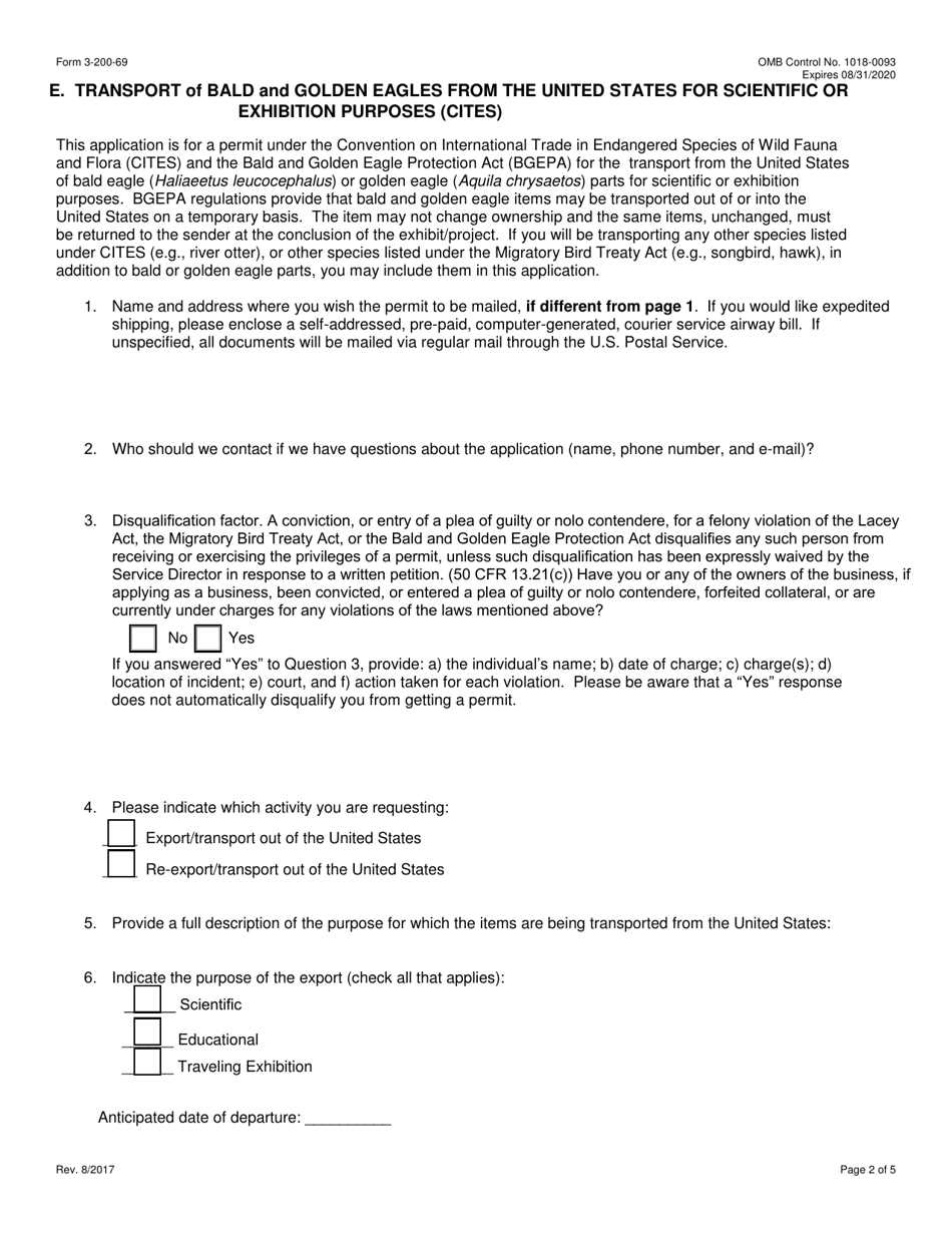
  • FWS Form 3-200-69 License/Permit Application Form: Transport of Bald and Golden Eagles From the U.S. for Scientific or Exhibition Purposes Under Cites, Page 2

    2

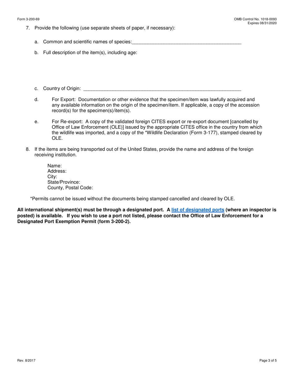
  • FWS Form 3-200-69 License/Permit Application Form: Transport of Bald and Golden Eagles From the U.S. for Scientific or Exhibition Purposes Under Cites, Page 3

    3

  • FWS Form 3-200-69 License/Permit Application Form: Transport of Bald and Golden Eagles From the U.S. for Scientific or Exhibition Purposes Under Cites, Page 4

    4

  • FWS Form 3-200-69 License/Permit Application Form: Transport of Bald and Golden Eagles From the U.S. for Scientific or Exhibition Purposes Under Cites, Page 5

    5

  • FWS Form 3-200-69 License / Permit Application Form: Transport of Bald and Golden Eagles From the U.S. for Scientific or Exhibition Purposes Under Cites, Page 1
  • FWS Form 3-200-69 License / Permit Application Form: Transport of Bald and Golden Eagles From the U.S. for Scientific or Exhibition Purposes Under Cites, Page 2
  • FWS Form 3-200-69 License / Permit Application Form: Transport of Bald and Golden Eagles From the U.S. for Scientific or Exhibition Purposes Under Cites, Page 3
  • FWS Form 3-200-69 License / Permit Application Form: Transport of Bald and Golden Eagles From the U.S. for Scientific or Exhibition Purposes Under Cites, Page 4
  • FWS Form 3-200-69 License / Permit Application Form: Transport of Bald and Golden Eagles From the U.S. for Scientific or Exhibition Purposes Under Cites, Page 5
Prev 1 2 3 4 5 Next
ADVERTISEMENT