FWS Form 3-200-77 Federal Fish and Wildlife Permit Application Form - Native American Eagle Take for Religious Purposes

Notification Icon This version of the form is not currently in use and is provided for reference only. Download this version of FWS Form 3-200-77 for the current year.

FWS Form 3-200-77 Federal Fish and Wildlife Permit Application Form - Native American Eagle Take for Religious Purposes

What Is FWS Form 3-200-77?

This is a legal form that was released by the U.S. Department of the Interior - Fish and Wildlife Service on April 1, 2018 and used country-wide. As of today, no separate filing guidelines for the form are provided by the issuing department.

FAQ

Q: What is the FWS Form 3-200-77?
A: It is the Federal Fish and Wildlife Permit Application Form.

Q: What does the form allow?
A: It allows Native Americans to apply for a permit to take eagles for religious purposes.

Q: What is the purpose of the permit?
A: The permit is for Native Americans to legally obtain eagles for religious ceremonies.

Q: Who can apply for the permit?
A: Native Americans can apply for the permit.

Q: What is the form number?
A: The form number is FWS Form 3-200-77.

ADVERTISEMENT

Form Details:

  • Released on April 1, 2018;
  • The latest available edition released by the U.S. Department of the Interior - Fish and Wildlife Service;
  • Easy to use and ready to print;
  • Yours to fill out and keep for your records;
  • Compatible with most PDF-viewing applications;
  • Fill out the form in our online filing application.

Download a fillable version of FWS Form 3-200-77 by clicking the link below or browse more documents and templates provided by the U.S. Department of the Interior - Fish and Wildlife Service.

Download FWS Form 3-200-77 Federal Fish and Wildlife Permit Application Form - Native American Eagle Take for Religious Purposes

4.3 of 5 (98 votes)
  • FWS Form 3-200-77 Federal Fish and Wildlife Permit Application Form - Native American Eagle Take for Religious Purposes

    1

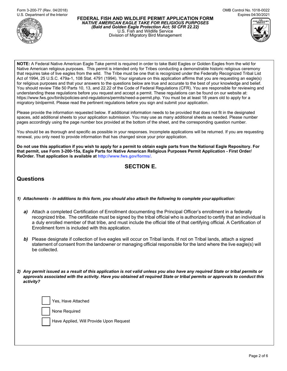
  • FWS Form 3-200-77 Federal Fish and Wildlife Permit Application Form - Native American Eagle Take for Religious Purposes, Page 2

    2

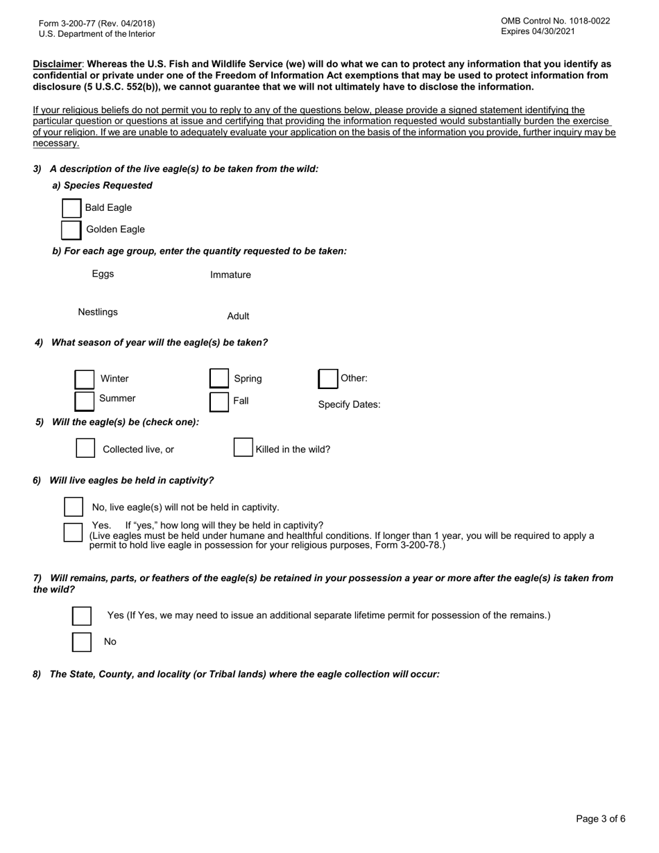
  • FWS Form 3-200-77 Federal Fish and Wildlife Permit Application Form - Native American Eagle Take for Religious Purposes, Page 3

    3

  • FWS Form 3-200-77 Federal Fish and Wildlife Permit Application Form - Native American Eagle Take for Religious Purposes, Page 4

    4

  • FWS Form 3-200-77 Federal Fish and Wildlife Permit Application Form - Native American Eagle Take for Religious Purposes, Page 5

    5

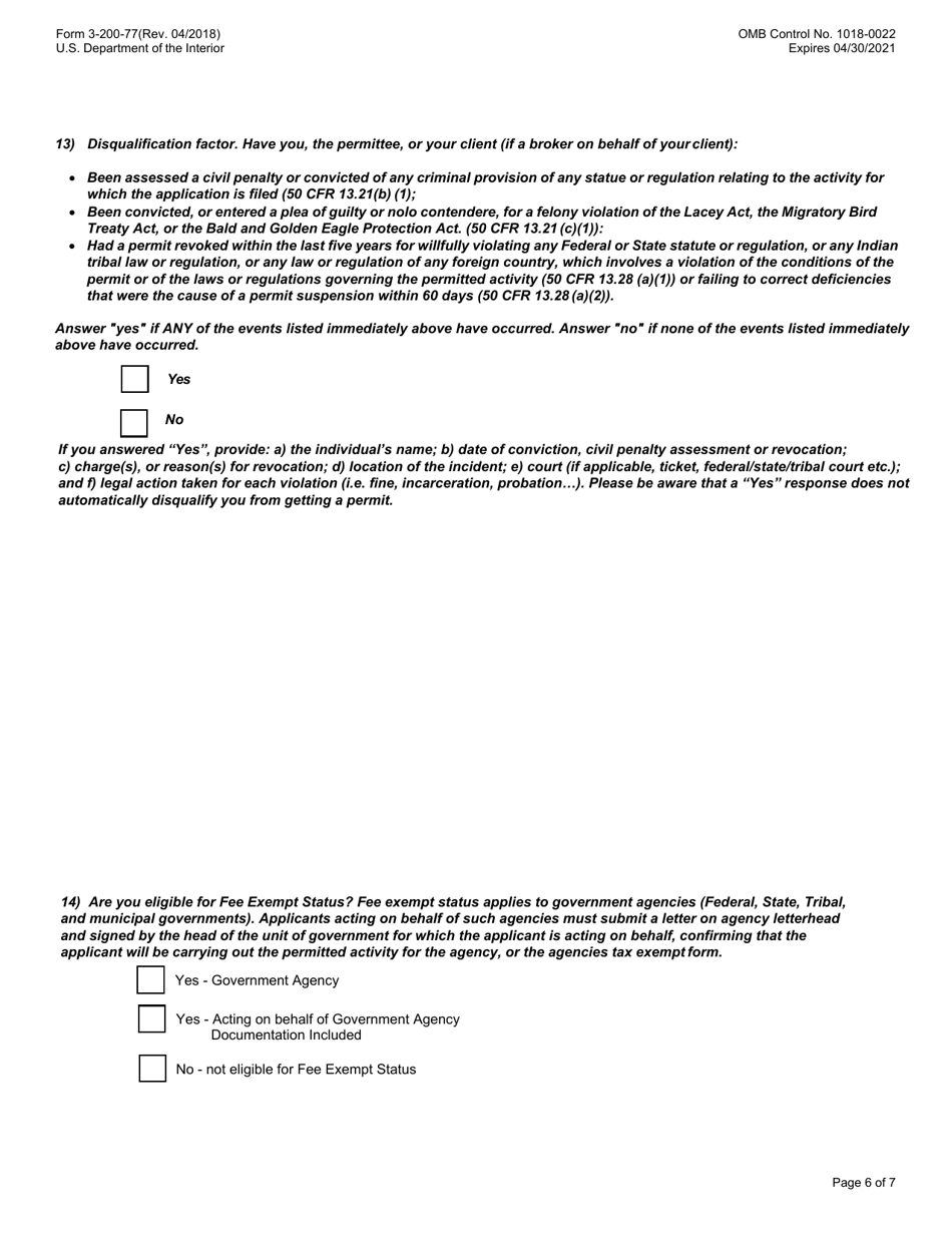
  • FWS Form 3-200-77 Federal Fish and Wildlife Permit Application Form - Native American Eagle Take for Religious Purposes, Page 6

    6

  • FWS Form 3-200-77 Federal Fish and Wildlife Permit Application Form - Native American Eagle Take for Religious Purposes, Page 7

    7

  • FWS Form 3-200-77 Federal Fish and Wildlife Permit Application Form - Native American Eagle Take for Religious Purposes, Page 1
  • FWS Form 3-200-77 Federal Fish and Wildlife Permit Application Form - Native American Eagle Take for Religious Purposes, Page 2
  • FWS Form 3-200-77 Federal Fish and Wildlife Permit Application Form - Native American Eagle Take for Religious Purposes, Page 3
  • FWS Form 3-200-77 Federal Fish and Wildlife Permit Application Form - Native American Eagle Take for Religious Purposes, Page 4
  • FWS Form 3-200-77 Federal Fish and Wildlife Permit Application Form - Native American Eagle Take for Religious Purposes, Page 5
  • FWS Form 3-200-77 Federal Fish and Wildlife Permit Application Form - Native American Eagle Take for Religious Purposes, Page 6
  • FWS Form 3-200-77 Federal Fish and Wildlife Permit Application Form - Native American Eagle Take for Religious Purposes, Page 7
Prev 1 2 3 4 5 ... 7 Next
ADVERTISEMENT

Related Documents