Form TOB551 (RV-R0006601) Tennessee Purchase Requisition Cigarette Stamps Worksheet - Tennessee

Form TOB551 (RV-R0006601) Tennessee Purchase Requisition Cigarette Stamps Worksheet - Tennessee

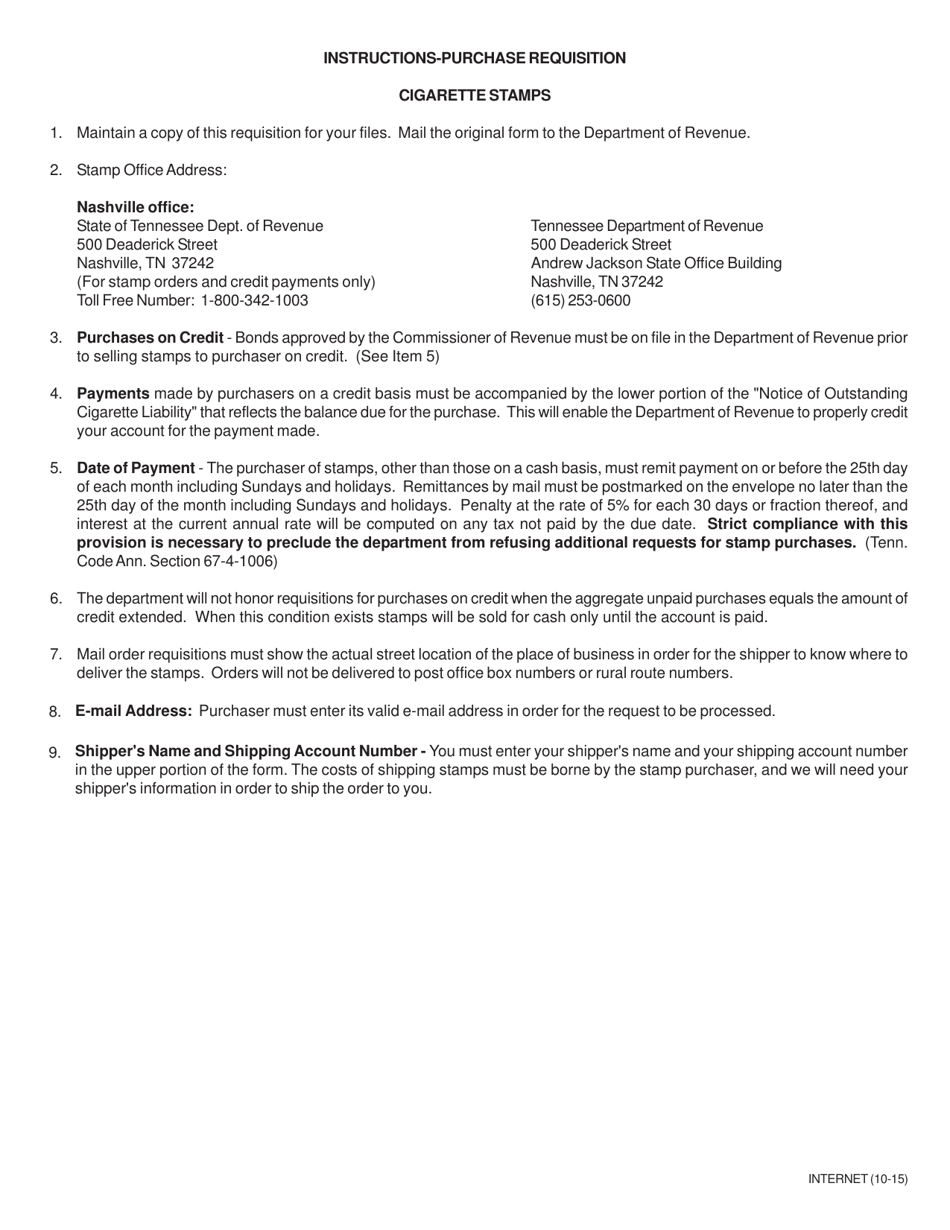
What Is Form TOB551 (RV-R0006601)?

This is a legal form that was released by the Tennessee Department of Revenue - a government authority operating within Tennessee. As of today, no separate filing guidelines for the form are provided by the issuing department.

FAQ

Q: What is Form TOB551?
A: Form TOB551 is the Tennessee Purchase Requisition Cigarette Stamps Worksheet.

Q: What is the purpose of this form?
A: The purpose of this form is to requisition cigarette stamps in Tennessee.

Q: What is the RV-R0006601 number?
A: The RV-R0006601 number is the identification number of the Tennessee Purchase Requisition Cigarette Stamps Worksheet.

Q: Who needs to use this form?
A: This form needs to be used by individuals or businesses who need to procure cigarette stamps in Tennessee.

Q: Do I need to pay any fees to submit this form?
A: No, there are no fees associated with submitting this form.

Q: Are there any specific requirements for completing this form?
A: Yes, you must provide accurate information about the quantity of cigarette stamps needed and other required details.

Q: How long does it take to process this form?
A: The processing time for this form may vary, but it typically takes a few business days.

ADVERTISEMENT

Form Details:

  • Released on October 1, 2015;
  • The latest edition provided by the Tennessee Department of Revenue;
  • Easy to use and ready to print;
  • Quick to customize;
  • Compatible with most PDF-viewing applications;
  • Fill out the form in our online filing application.

Download a printable version of Form TOB551 (RV-R0006601) by clicking the link below or browse more documents and templates provided by the Tennessee Department of Revenue.

Download Form TOB551 (RV-R0006601) Tennessee Purchase Requisition Cigarette Stamps Worksheet - Tennessee

4.3 of 5 (12 votes)
  • Form TOB551 (RV-R0006601) Tennessee Purchase Requisition Cigarette Stamps Worksheet - Tennessee

    1

  • Form TOB551 (RV-R0006601) Tennessee Purchase Requisition Cigarette Stamps Worksheet - Tennessee, Page 2

    2

  • Form TOB551 (RV-R0006601) Tennessee Purchase Requisition Cigarette Stamps Worksheet - Tennessee, Page 1
  • Form TOB551 (RV-R0006601) Tennessee Purchase Requisition Cigarette Stamps Worksheet - Tennessee, Page 2
Prev 1 2 Next
ADVERTISEMENT