Form OCRP-103 Registration Statement for a Professional Fundraising Counsel - Virginia

Notification Icon This version of the form is not currently in use and is provided for reference only. Download this version of Form OCRP-103 for the current year.

Form OCRP-103 Registration Statement for a Professional Fundraising Counsel - Virginia

What Is Form OCRP-103?

This is a legal form that was released by the Virginia Department of Agriculture and Consumer Services - a government authority operating within Virginia. As of today, no separate filing guidelines for the form are provided by the issuing department.

FAQ

Q: What is Form OCRP-103?
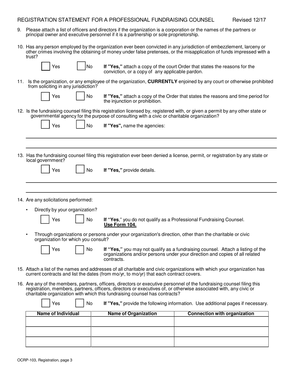
A: Form OCRP-103 is a Registration Statement for a Professional Fundraising Counsel in Virginia.

Q: Who needs to file Form OCRP-103?
A: Anyone acting as a professional fundraising counsel in Virginia needs to file Form OCRP-103.

Q: What is a professional fundraising counsel?
A: A professional fundraising counsel is a person or entity that is paid to plan, manage, or conduct a charitable solicitation campaign.

Q: What information is required in Form OCRP-103?
A: Form OCRP-103 requires information such as the name and address of the fundraising counsel, financial information, and disclosure of any prior convictions or actions.

Q: When should Form OCRP-103 be filed?
A: Form OCRP-103 should be filed at least 20 days prior to the start of any solicitation activities in Virginia.

Q: Is Form OCRP-103 required annually?
A: Yes, Form OCRP-103 must be renewed annually by filing a new registration statement.

Q: What are the consequences of not filing Form OCRP-103?
A: Failure to file Form OCRP-103 can result in penalties, including fines and potential revocation of registration.

ADVERTISEMENT

Form Details:

  • Released on December 1, 2017;
  • The latest edition provided by the Virginia Department of Agriculture and Consumer Services;
  • Easy to use and ready to print;
  • Quick to customize;
  • Compatible with most PDF-viewing applications;
  • Fill out the form in our online filing application.

Download a fillable version of Form OCRP-103 by clicking the link below or browse more documents and templates provided by the Virginia Department of Agriculture and Consumer Services.

Download Form OCRP-103 Registration Statement for a Professional Fundraising Counsel - Virginia

4.7 of 5 (56 votes)
  • Form OCRP-103 Registration Statement for a Professional Fundraising Counsel - Virginia

    1

  • Form OCRP-103 Registration Statement for a Professional Fundraising Counsel - Virginia, Page 2

    2

  • Form OCRP-103 Registration Statement for a Professional Fundraising Counsel - Virginia, Page 3

    3

  • Form OCRP-103 Registration Statement for a Professional Fundraising Counsel - Virginia, Page 4

    4

  • Form OCRP-103 Registration Statement for a Professional Fundraising Counsel - Virginia, Page 1
  • Form OCRP-103 Registration Statement for a Professional Fundraising Counsel - Virginia, Page 2
  • Form OCRP-103 Registration Statement for a Professional Fundraising Counsel - Virginia, Page 3
  • Form OCRP-103 Registration Statement for a Professional Fundraising Counsel - Virginia, Page 4
Prev 1 2 3 4 Next
ADVERTISEMENT