Instructions for Form NP-1 Exemption Application for Nonprofit Organizations - Virginia

Notification Icon This version of the form is not currently in use and is provided for reference only. Download this version of Instructions for Form NP-1 for the current year.

Instructions for Form NP-1 Exemption Application for Nonprofit Organizations - Virginia

This document contains official instructions for Form NP-1 , Exemption Application for Nonprofit Organizations - a form released and collected by the Virginia Department of Taxation. An up-to-date fillable Form NP-1 is available for download through this link.

FAQ

Q: What is Form NP-1?
A: Form NP-1 is an Exemption Application for Nonprofit Organizations in Virginia.

Q: Who needs to file Form NP-1?
A: Nonprofit organizations in Virginia that are seeking tax exemption need to file Form NP-1.

Q: What is the purpose of Form NP-1?
A: The purpose of Form NP-1 is to apply for exemption from certain taxes for nonprofit organizations in Virginia.

Q: How do I fill out Form NP-1?
A: You must provide information about your nonprofit organization, its activities, and the taxes you are seeking exemption from on Form NP-1.

Q: When is the deadline to file Form NP-1?
A: Form NP-1 should be filed within 90 days of the nonprofit organization's formation or initial registration with the Virginia State Corporation Commission.

ADVERTISEMENT

Instruction Details:

  • This 6-page document is available for download in PDF;
  • Actual and applicable for the current year;
  • Complete, printable, and free.

Download your copy of the instructions by clicking the link below or browse hundreds of other forms in our library of forms released by the Virginia Department of Taxation.

Download Instructions for Form NP-1 Exemption Application for Nonprofit Organizations - Virginia

4.7 of 5 (21 votes)
  • Instructions for Form NP-1 Exemption Application for Nonprofit Organizations - Virginia

    1

  • Instructions for Form NP-1 Exemption Application for Nonprofit Organizations - Virginia, Page 2

    2

  • Instructions for Form NP-1 Exemption Application for Nonprofit Organizations - Virginia, Page 3

    3

  • Instructions for Form NP-1 Exemption Application for Nonprofit Organizations - Virginia, Page 4

    4

  • Instructions for Form NP-1 Exemption Application for Nonprofit Organizations - Virginia, Page 5

    5

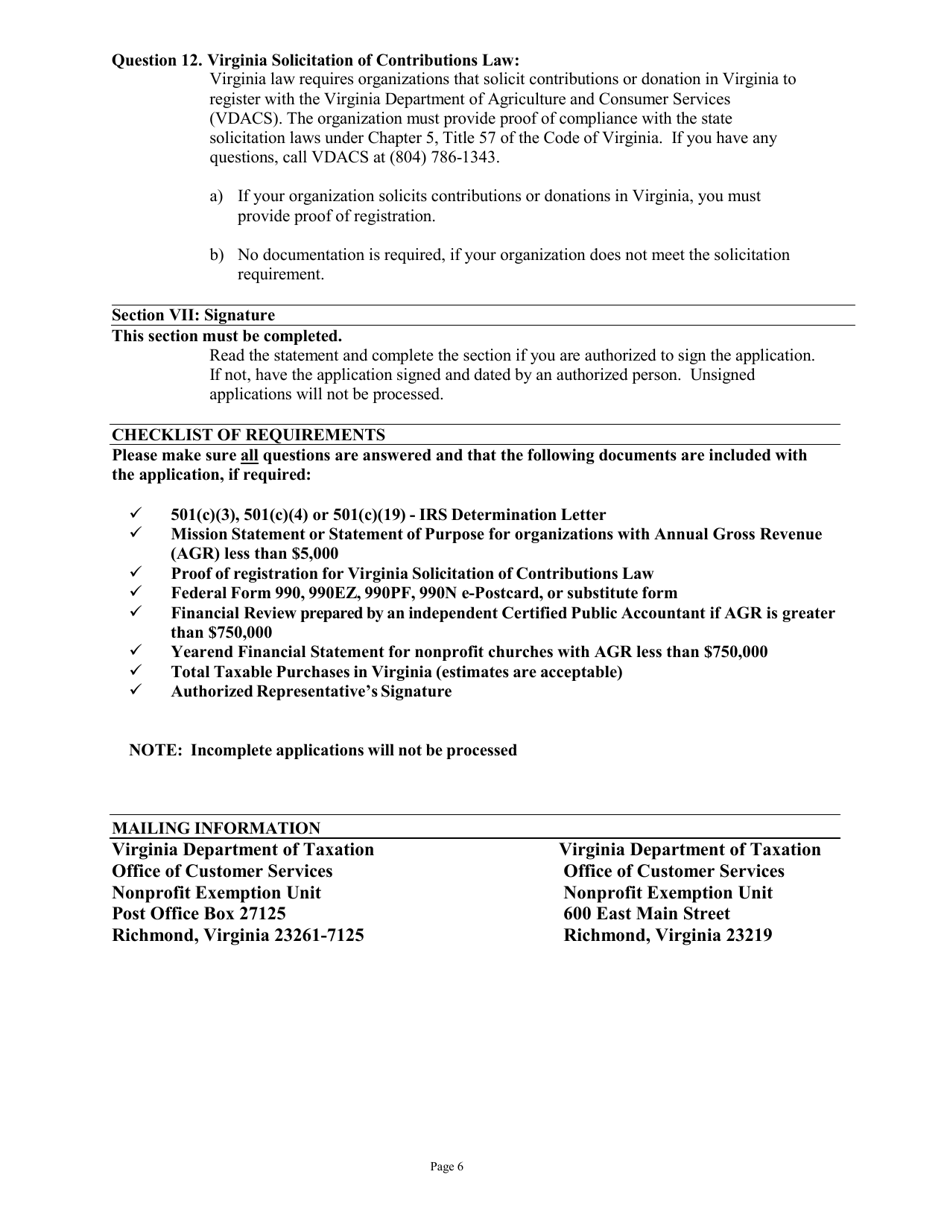
  • Instructions for Form NP-1 Exemption Application for Nonprofit Organizations - Virginia, Page 6

    6

  • Instructions for Form NP-1 Exemption Application for Nonprofit Organizations - Virginia, Page 1
  • Instructions for Form NP-1 Exemption Application for Nonprofit Organizations - Virginia, Page 2
  • Instructions for Form NP-1 Exemption Application for Nonprofit Organizations - Virginia, Page 3
  • Instructions for Form NP-1 Exemption Application for Nonprofit Organizations - Virginia, Page 4
  • Instructions for Form NP-1 Exemption Application for Nonprofit Organizations - Virginia, Page 5
  • Instructions for Form NP-1 Exemption Application for Nonprofit Organizations - Virginia, Page 6
Prev 1 2 3 4 5 6 Next
ADVERTISEMENT