Form 1786 South Dakota Tobacco Product Manufacturer Complementary Legislation Certification - South Dakota

Form 1786 South Dakota Tobacco Product Manufacturer Complementary Legislation Certification - South Dakota

What Is Form 1786?

This is a legal form that was released by the South Dakota Department of Revenue - a government authority operating within South Dakota. As of today, no separate filing guidelines for the form are provided by the issuing department.

FAQ

Q: What is Form 1786?
A: Form 1786 is a South Dakota Tobacco Product Manufacturer Complementary Legislation Certification.

Q: What is the purpose of Form 1786?
A: The purpose of Form 1786 is to certify compliance with South Dakota's tobacco product regulations.

Q: Who needs to submit Form 1786?
A: Tobacco product manufacturers in South Dakota need to submit Form 1786.

Q: What is the deadline for submitting Form 1786?
A: The deadline for submitting Form 1786 is determined by the South Dakota Department of Revenue.

ADVERTISEMENT

Form Details:

  • Released on April 30, 2019;
  • The latest edition provided by the South Dakota Department of Revenue;
  • Easy to use and ready to print;
  • Quick to customize;
  • Compatible with most PDF-viewing applications;
  • Fill out the form in our online filing application.

Download a fillable version of Form 1786 by clicking the link below or browse more documents and templates provided by the South Dakota Department of Revenue.

Download Form 1786 South Dakota Tobacco Product Manufacturer Complementary Legislation Certification - South Dakota

4.3 of 5 (39 votes)
  • Form 1786 South Dakota Tobacco Product Manufacturer Complementary Legislation Certification - South Dakota

    1

  • Form 1786 South Dakota Tobacco Product Manufacturer Complementary Legislation Certification - South Dakota, Page 2

    2

  • Form 1786 South Dakota Tobacco Product Manufacturer Complementary Legislation Certification - South Dakota, Page 3

    3

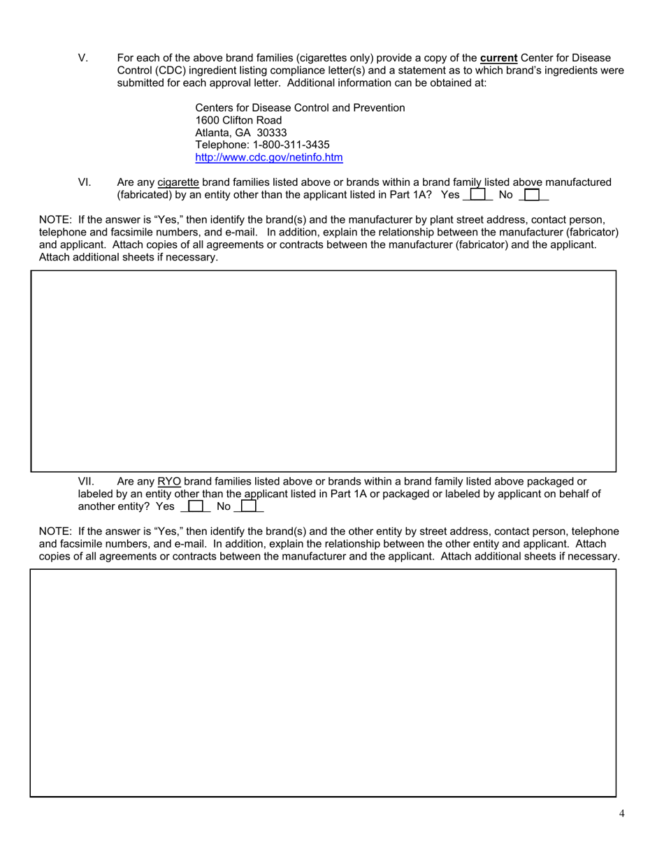
  • Form 1786 South Dakota Tobacco Product Manufacturer Complementary Legislation Certification - South Dakota, Page 4

    4

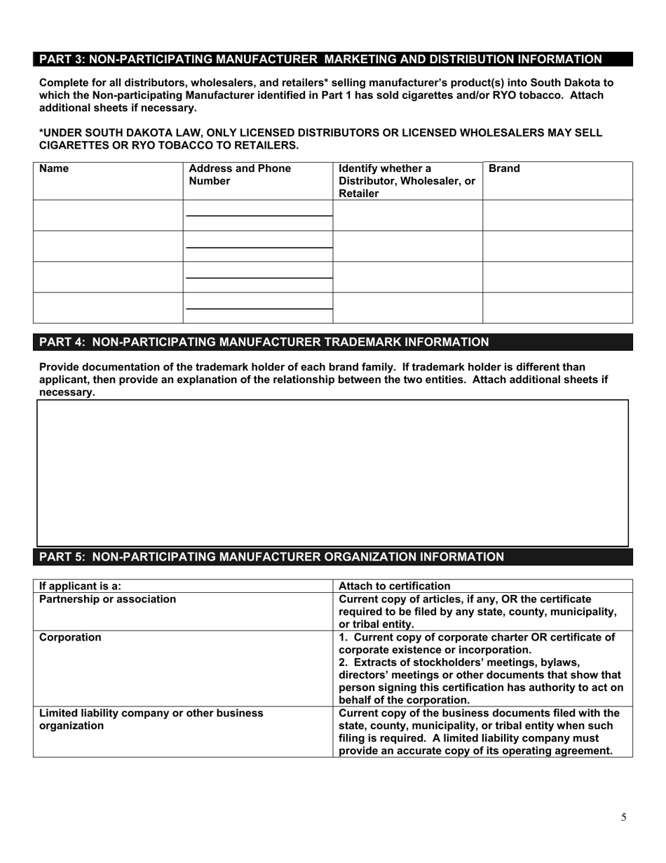
  • Form 1786 South Dakota Tobacco Product Manufacturer Complementary Legislation Certification - South Dakota, Page 5

    5

  • Form 1786 South Dakota Tobacco Product Manufacturer Complementary Legislation Certification - South Dakota, Page 6

    6

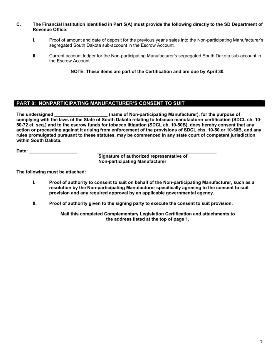
  • Form 1786 South Dakota Tobacco Product Manufacturer Complementary Legislation Certification - South Dakota, Page 7

    7

  • Form 1786 South Dakota Tobacco Product Manufacturer Complementary Legislation Certification - South Dakota, Page 8

    8

  • Form 1786 South Dakota Tobacco Product Manufacturer Complementary Legislation Certification - South Dakota, Page 9

    9

  • Form 1786 South Dakota Tobacco Product Manufacturer Complementary Legislation Certification - South Dakota, Page 10

    10

  • Form 1786 South Dakota Tobacco Product Manufacturer Complementary Legislation Certification - South Dakota, Page 11

    11

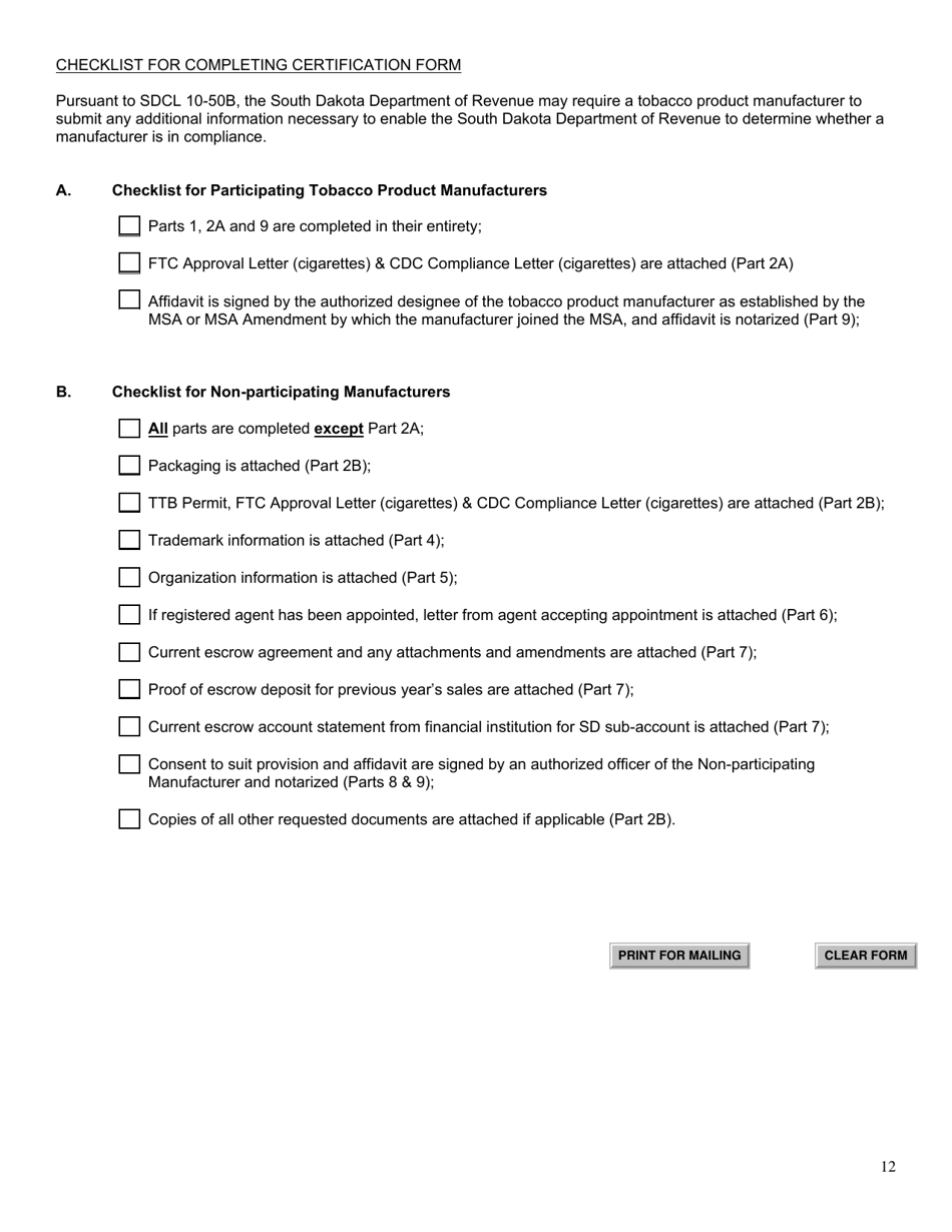
  • Form 1786 South Dakota Tobacco Product Manufacturer Complementary Legislation Certification - South Dakota, Page 12

    12

  • Form 1786 South Dakota Tobacco Product Manufacturer Complementary Legislation Certification - South Dakota, Page 1
  • Form 1786 South Dakota Tobacco Product Manufacturer Complementary Legislation Certification - South Dakota, Page 2
  • Form 1786 South Dakota Tobacco Product Manufacturer Complementary Legislation Certification - South Dakota, Page 3
  • Form 1786 South Dakota Tobacco Product Manufacturer Complementary Legislation Certification - South Dakota, Page 4
  • Form 1786 South Dakota Tobacco Product Manufacturer Complementary Legislation Certification - South Dakota, Page 5
  • Form 1786 South Dakota Tobacco Product Manufacturer Complementary Legislation Certification - South Dakota, Page 6
  • Form 1786 South Dakota Tobacco Product Manufacturer Complementary Legislation Certification - South Dakota, Page 7
  • Form 1786 South Dakota Tobacco Product Manufacturer Complementary Legislation Certification - South Dakota, Page 8
  • Form 1786 South Dakota Tobacco Product Manufacturer Complementary Legislation Certification - South Dakota, Page 9
  • Form 1786 South Dakota Tobacco Product Manufacturer Complementary Legislation Certification - South Dakota, Page 10
  • Form 1786 South Dakota Tobacco Product Manufacturer Complementary Legislation Certification - South Dakota, Page 11
  • Form 1786 South Dakota Tobacco Product Manufacturer Complementary Legislation Certification - South Dakota, Page 12
Prev 1 2 3 4 5 ... 12 Next
ADVERTISEMENT