Recruitment of Sub-inspector in Delhi Police, CAPFs and Assistant Sub-inspectors in Cisf Examination - India

Notification Icon This version of the form is not currently in use and is provided for reference only. Download this version of the document for the current year.

Recruitment of Sub-inspector in Delhi Police, CAPFs and Assistant Sub-inspectors in Cisf Examination - India

The recruitment of Sub-inspector in Delhi Police, CAPFs and Assistant Sub-inspectors in CISF Examination in India is for selecting and hiring individuals to serve in the police forces, specifically the Delhi Police, Central Armed Police Forces (CAPFs), and Central Industrial Security Force (CISF).

The Staff Selection Commission (SSC) conducts the recruitment for Sub-Inspector in Delhi Police, CAPFs, and Assistant Sub-Inspectors in CISF examination in India.

FAQ

Q: What is the recruitment for?
A: The recruitment is for Sub-inspector in Delhi Police, CAPFs, and Assistant Sub-inspectors in Cisf.

Q: What does CAPFs stand for?
A: CAPFs stands for Central Armed Police Forces.

Q: What is CISF?
A: CISF stands for Central Industrial Security Force.

Q: Who can apply for these positions?
A: Candidates who meet the eligibility criteria can apply for these positions.

Q: What is the selection process?
A: The selection process includes a written examination, physical endurance test, medical examination, and document verification.

Q: When is the written examination conducted?
A: The written examination is conducted on specified dates by the conducting authorities.

Q: What documents are required for verification?
A: Candidates need to provide various documents for verification, including educational certificates, caste certificates, and identity proof.

Q: What is the age limit for applying?
A: The age limit varies for different categories. It is recommended to check the official notification for detailed information.

Q: Are there any relaxations in the age limit?
A: Yes, there are relaxations in the age limit for candidates belonging to certain categories.

Q: What is the syllabus for the written examination?
A: The syllabus includes topics like General Intelligence and Reasoning, General Knowledge and General Awareness, Quantitative Aptitude, and English Comprehension.

Q: Is there any negative marking in the examination?
A: Yes, there is negative marking in the examination. One-fourth of the marks assigned to a question will be deducted for each wrong answer.

ADVERTISEMENT

Download Recruitment of Sub-inspector in Delhi Police, CAPFs and Assistant Sub-inspectors in Cisf Examination - India

4.7 of 5 (28 votes)
  • Recruitment of Sub-inspector in Delhi Police, CAPFs and Assistant Sub-inspectors in Cisf Examination - India

    1

  • Recruitment of Sub-inspector in Delhi Police, CAPFs and Assistant Sub-inspectors in Cisf Examination - India, Page 2

    2

  • Recruitment of Sub-inspector in Delhi Police, CAPFs and Assistant Sub-inspectors in Cisf Examination - India, Page 3

    3

  • Recruitment of Sub-inspector in Delhi Police, CAPFs and Assistant Sub-inspectors in Cisf Examination - India, Page 4

    4

  • Recruitment of Sub-inspector in Delhi Police, CAPFs and Assistant Sub-inspectors in Cisf Examination - India, Page 5

    5

  • Recruitment of Sub-inspector in Delhi Police, CAPFs and Assistant Sub-inspectors in Cisf Examination - India, Page 6

    6

  • Recruitment of Sub-inspector in Delhi Police, CAPFs and Assistant Sub-inspectors in Cisf Examination - India, Page 7

    7

  • Recruitment of Sub-inspector in Delhi Police, CAPFs and Assistant Sub-inspectors in Cisf Examination - India, Page 8

    8

  • Recruitment of Sub-inspector in Delhi Police, CAPFs and Assistant Sub-inspectors in Cisf Examination - India, Page 9

    9

  • Recruitment of Sub-inspector in Delhi Police, CAPFs and Assistant Sub-inspectors in Cisf Examination - India, Page 10

    10

  • Recruitment of Sub-inspector in Delhi Police, CAPFs and Assistant Sub-inspectors in Cisf Examination - India, Page 11

    11

  • Recruitment of Sub-inspector in Delhi Police, CAPFs and Assistant Sub-inspectors in Cisf Examination - India, Page 12

    12

  • Recruitment of Sub-inspector in Delhi Police, CAPFs and Assistant Sub-inspectors in Cisf Examination - India, Page 13

    13

  • Recruitment of Sub-inspector in Delhi Police, CAPFs and Assistant Sub-inspectors in Cisf Examination - India, Page 14

    14

  • Recruitment of Sub-inspector in Delhi Police, CAPFs and Assistant Sub-inspectors in Cisf Examination - India, Page 15

    15

  • Recruitment of Sub-inspector in Delhi Police, CAPFs and Assistant Sub-inspectors in Cisf Examination - India, Page 16

    16

  • Recruitment of Sub-inspector in Delhi Police, CAPFs and Assistant Sub-inspectors in Cisf Examination - India, Page 17

    17

  • Recruitment of Sub-inspector in Delhi Police, CAPFs and Assistant Sub-inspectors in Cisf Examination - India, Page 18

    18

  • Recruitment of Sub-inspector in Delhi Police, CAPFs and Assistant Sub-inspectors in Cisf Examination - India, Page 19

    19

  • Recruitment of Sub-inspector in Delhi Police, CAPFs and Assistant Sub-inspectors in Cisf Examination - India, Page 20

    20

  • Recruitment of Sub-inspector in Delhi Police, CAPFs and Assistant Sub-inspectors in Cisf Examination - India, Page 21

    21

  • Recruitment of Sub-inspector in Delhi Police, CAPFs and Assistant Sub-inspectors in Cisf Examination - India, Page 22

    22

  • Recruitment of Sub-inspector in Delhi Police, CAPFs and Assistant Sub-inspectors in Cisf Examination - India, Page 23

    23

  • Recruitment of Sub-inspector in Delhi Police, CAPFs and Assistant Sub-inspectors in Cisf Examination - India, Page 24

    24

  • Recruitment of Sub-inspector in Delhi Police, CAPFs and Assistant Sub-inspectors in Cisf Examination - India, Page 25

    25

  • Recruitment of Sub-inspector in Delhi Police, CAPFs and Assistant Sub-inspectors in Cisf Examination - India, Page 26

    26

  • Recruitment of Sub-inspector in Delhi Police, CAPFs and Assistant Sub-inspectors in Cisf Examination - India, Page 27

    27

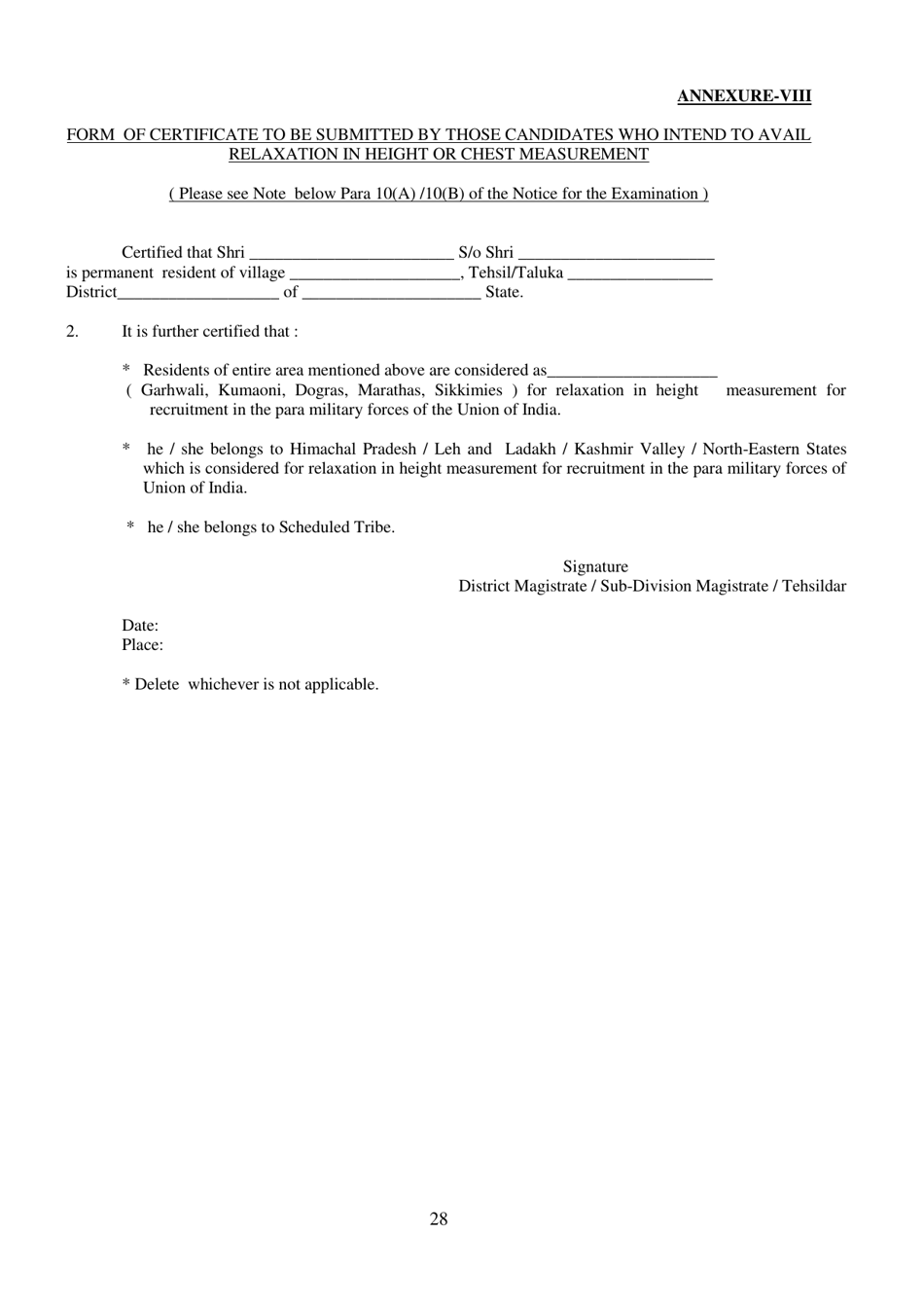
  • Recruitment of Sub-inspector in Delhi Police, CAPFs and Assistant Sub-inspectors in Cisf Examination - India, Page 28

    28

  • Recruitment of Sub-inspector in Delhi Police, CAPFs and Assistant Sub-inspectors in Cisf Examination - India, Page 29

    29

  • Recruitment of Sub-inspector in Delhi Police, CAPFs and Assistant Sub-inspectors in Cisf Examination - India, Page 30

    30

  • Recruitment of Sub-inspector in Delhi Police, CAPFs and Assistant Sub-inspectors in Cisf Examination - India, Page 31

    31

  • One Color Pen on Recruitment of Sub-Inspector in Delhi Police, CAPFs and Assistant Sub-Inspectors in CISF Examination in India
  • Recruitment of Sub-inspector in Delhi Police, CAPFs and Assistant Sub-inspectors in Cisf Examination - India, Page 2
  • Recruitment of Sub-inspector in Delhi Police, CAPFs and Assistant Sub-inspectors in Cisf Examination - India, Page 3
  • Recruitment of Sub-inspector in Delhi Police, CAPFs and Assistant Sub-inspectors in Cisf Examination - India, Page 4
  • Recruitment of Sub-inspector in Delhi Police, CAPFs and Assistant Sub-inspectors in Cisf Examination - India, Page 5
  • Recruitment of Sub-inspector in Delhi Police, CAPFs and Assistant Sub-inspectors in Cisf Examination - India, Page 6
  • Recruitment of Sub-inspector in Delhi Police, CAPFs and Assistant Sub-inspectors in Cisf Examination - India, Page 7
  • Recruitment of Sub-inspector in Delhi Police, CAPFs and Assistant Sub-inspectors in Cisf Examination - India, Page 8
  • Recruitment of Sub-inspector in Delhi Police, CAPFs and Assistant Sub-inspectors in Cisf Examination - India, Page 9
  • Recruitment of Sub-inspector in Delhi Police, CAPFs and Assistant Sub-inspectors in Cisf Examination - India, Page 10
  • Recruitment of Sub-inspector in Delhi Police, CAPFs and Assistant Sub-inspectors in Cisf Examination - India, Page 11
  • Recruitment of Sub-inspector in Delhi Police, CAPFs and Assistant Sub-inspectors in Cisf Examination - India, Page 12
  • Recruitment of Sub-inspector in Delhi Police, CAPFs and Assistant Sub-inspectors in Cisf Examination - India, Page 13
  • Recruitment of Sub-inspector in Delhi Police, CAPFs and Assistant Sub-inspectors in Cisf Examination - India, Page 14
  • Recruitment of Sub-inspector in Delhi Police, CAPFs and Assistant Sub-inspectors in Cisf Examination - India, Page 15
  • Recruitment of Sub-inspector in Delhi Police, CAPFs and Assistant Sub-inspectors in Cisf Examination - India, Page 16
  • Recruitment of Sub-inspector in Delhi Police, CAPFs and Assistant Sub-inspectors in Cisf Examination - India, Page 17
  • Recruitment of Sub-inspector in Delhi Police, CAPFs and Assistant Sub-inspectors in Cisf Examination - India, Page 18
  • Recruitment of Sub-inspector in Delhi Police, CAPFs and Assistant Sub-inspectors in Cisf Examination - India, Page 19
  • Recruitment of Sub-inspector in Delhi Police, CAPFs and Assistant Sub-inspectors in Cisf Examination - India, Page 20
  • Recruitment of Sub-inspector in Delhi Police, CAPFs and Assistant Sub-inspectors in Cisf Examination - India, Page 21
  • Recruitment of Sub-inspector in Delhi Police, CAPFs and Assistant Sub-inspectors in Cisf Examination - India, Page 22
  • Recruitment of Sub-inspector in Delhi Police, CAPFs and Assistant Sub-inspectors in Cisf Examination - India, Page 23
  • Recruitment of Sub-inspector in Delhi Police, CAPFs and Assistant Sub-inspectors in Cisf Examination - India, Page 24
  • Recruitment of Sub-inspector in Delhi Police, CAPFs and Assistant Sub-inspectors in Cisf Examination - India, Page 25
  • Recruitment of Sub-inspector in Delhi Police, CAPFs and Assistant Sub-inspectors in Cisf Examination - India, Page 26
  • Recruitment of Sub-inspector in Delhi Police, CAPFs and Assistant Sub-inspectors in Cisf Examination - India, Page 27
  • Recruitment of Sub-inspector in Delhi Police, CAPFs and Assistant Sub-inspectors in Cisf Examination - India, Page 28
  • Recruitment of Sub-inspector in Delhi Police, CAPFs and Assistant Sub-inspectors in Cisf Examination - India, Page 29
  • Recruitment of Sub-inspector in Delhi Police, CAPFs and Assistant Sub-inspectors in Cisf Examination - India, Page 30
  • Recruitment of Sub-inspector in Delhi Police, CAPFs and Assistant Sub-inspectors in Cisf Examination - India, Page 31
Prev 1 2 3 4 5 ... 31 Next
ADVERTISEMENT

Linked Topics