Tennessee Advance Directives and Living Wills Booklet - Tennessee

Tennessee Advance Directives and Living Wills Booklet - Tennessee

The Tennessee Advance Directives and Living Wills Booklet is crucial for patients looking for more control over the medical treatment they would want in the event of incapacitation. When a person falls seriously ill with no hope or recovery, arguments concerning artificial life support or certain treatments can arise amongst their family when trying to decide on an outcome.

You can download the booklet prepared by the TennCare Division of the Tennessee Department of Health through the link below. The document is defined by § 32-11-103 and regulated by § 32-11-101 through 32-11-113 of Title 32 Chapter 11 . The document must be signed by two (2) witnesses.

With a signed and legal will with all wishes clearly stated, the patient can make pre-plan all procedures regarding palliative care, life support, and life-sustaining treatment. The paperwork should be given careful thought and be talked about with the patient's family, physician, and health care providers since they will be tasked with implementing the specified wishes and procedures.

ADVERTISEMENT

What Is a Tennessee Living Will?

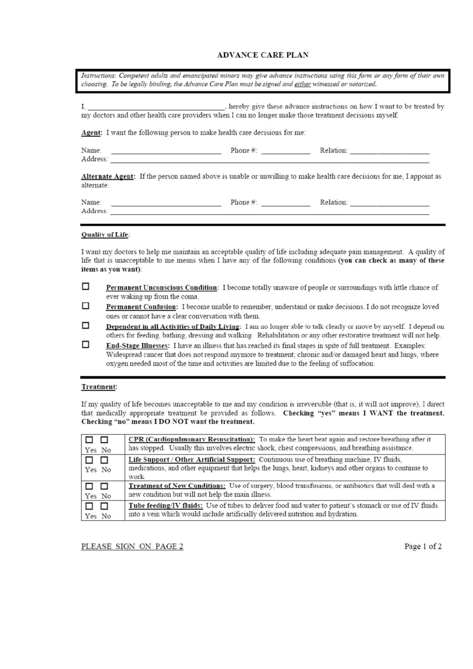
A Living Will is a legal form that lets all participating parties know about the kind of medical care and palliative care a patient wishes to receive. When creating a will, the individual will be deciding on the types of care that they are willing to receive and the types of medical care they will not be receiving. For example, some people choose to not be resuscitated if they stop breathing while in a coma, while others choose to remain on life support.

An individual can print out a basic Living Will with or without the assistance of an attorney. The document may be revoked in writing or orally, by either the patient (the person making the will) or by a designated proxy (the person elected to make healthcare-related decisions for the patient).

How to Make a Living Will in Tennessee?

A basic Living Will template can be completed without a lawyer or an attorney. Generally, these forms will include the following sections:

  1. A designation of health care proxy - a third party tasked with making any and all healthcare-related decisions on the patient's behalf.
  2. General provisions - the general wishes concerning healthcare, custody and medical treatment.
  3. Life-sustaining medical treatment - provisions regarding life-support, tube feeding, surgeries, antibiotics or medication.
  4. Comfort and pain relief - the patient may choose any treatment even if it results in hastening the death or a temporary addiction.
  5. The agent's obligations - the agent must take the patient's personal values to the extent known to them into consideration.
  6. End of life decisions - including the provisions regarding the withholding or withdrawal of treatment.
  7. The patient's statement and signature - the patient must certify that they are fully aware and completely understand the contents of the document.

Download Tennessee Advance Directives and Living Wills Booklet - Tennessee

4.6 of 5 (20 votes)
  • Tennessee Advance Directives and Living Wills Booklet - Tennessee

    1

  • Tennessee Advance Directives and Living Wills Booklet - Tennessee, Page 2

    2

  • Tennessee Advance Directives and Living Wills Booklet - Tennessee, Page 3

    3

  • Tennessee Advance Directives and Living Wills Booklet - Tennessee, Page 4

    4

  • Tennessee Advance Directives and Living Wills Booklet - Tennessee, Page 5

    5

  • Tennessee Advance Directives and Living Wills Booklet - Tennessee, Page 1
  • Tennessee Advance Directives and Living Wills Booklet - Tennessee, Page 2
  • Tennessee Advance Directives and Living Wills Booklet - Tennessee, Page 3
  • Tennessee Advance Directives and Living Wills Booklet - Tennessee, Page 4
  • Tennessee Advance Directives and Living Wills Booklet - Tennessee, Page 5
Prev 1 2 3 4 5 Next
ADVERTISEMENT