Form 032-04-0029-02 Foster Care Agreement: Code of Ethics and Mutual Responsibilities - Virginia

Form 032-04-0029-02 Foster Care Agreement: Code of Ethics and Mutual Responsibilities - Virginia

What Is Form 032-04-0029-02?

This is a legal form that was released by the Virginia Department of Social Services - a government authority operating within Virginia. As of today, no separate filing guidelines for the form are provided by the issuing department.

FAQ

Q: What is Form 032-04-0029-02?
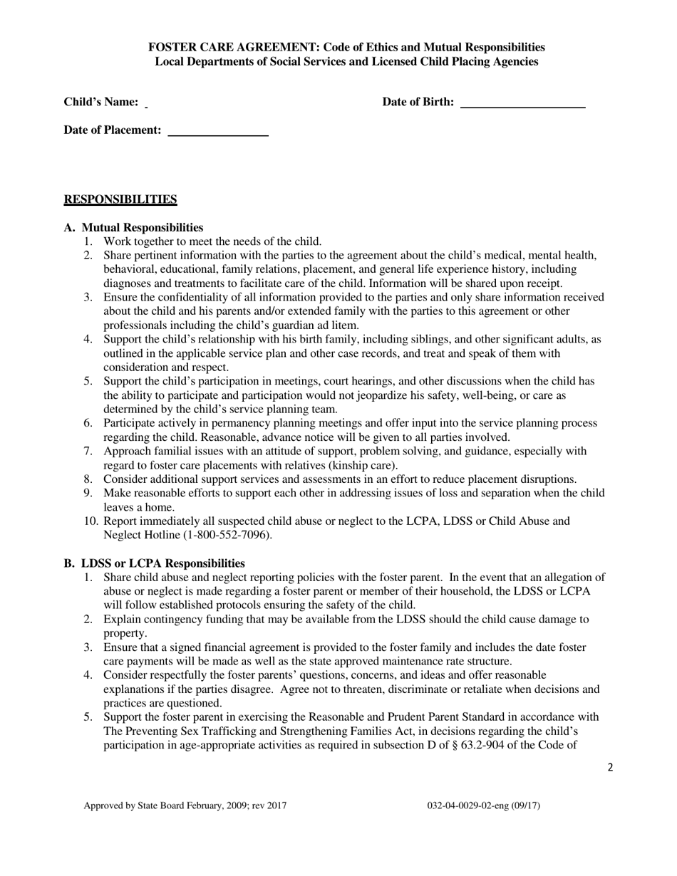
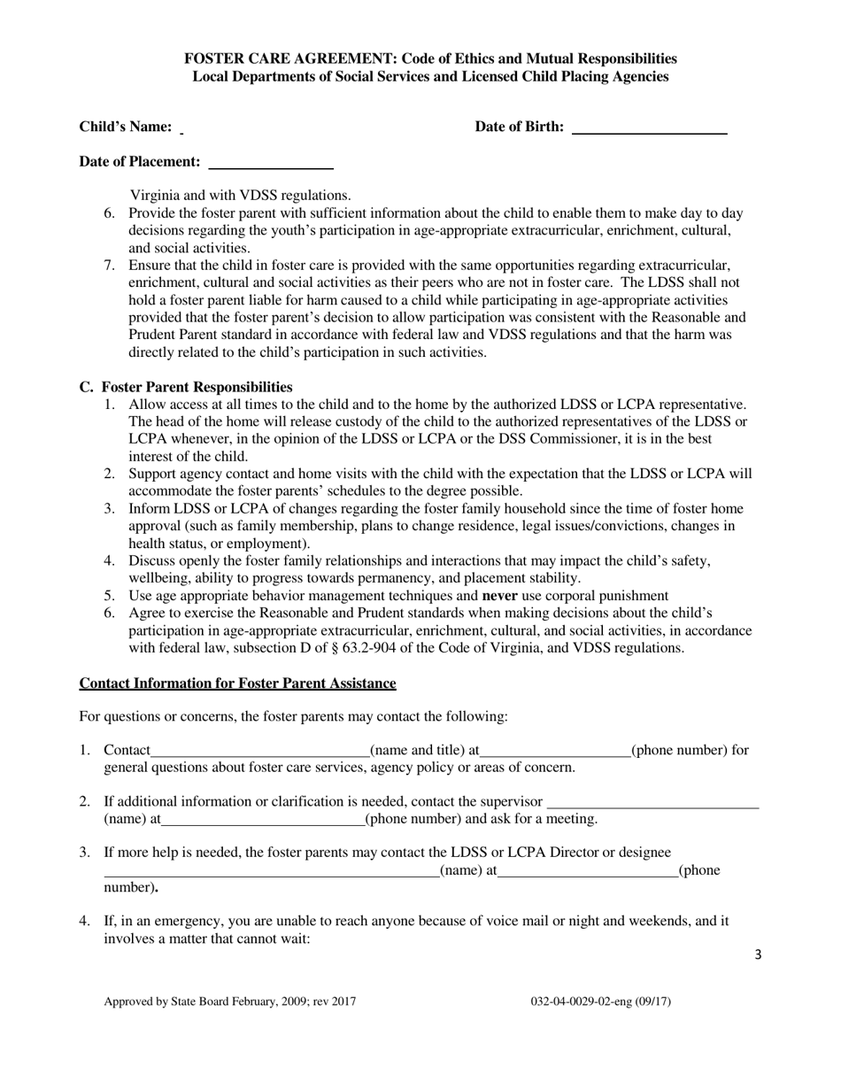
A: Form 032-04-0029-02 is the Foster Care Agreement: Code of Ethics and Mutual Responsibilities in Virginia.

Q: What is the purpose of Form 032-04-0029-02?
A: The purpose of Form 032-04-0029-02 is to outline the code of ethics and mutual responsibilities for foster care in Virginia.

Q: Who is this form for?
A: This form is for foster care providers in Virginia.

Q: What does the form cover?
A: The form covers the ethical guidelines and responsibilities that foster care providers must adhere to.

Q: Why is the form important?
A: The form is important to ensure that foster care providers are following ethical practices and fulfilling their responsibilities.

Q: Are there any specific obligations mentioned in the form?
A: Yes, the form outlines specific obligations such as providing a safe and stable home, promoting the child's well-being, and maintaining confidentiality.

Q: Can foster care providers deviate from the code of ethics and mutual responsibilities mentioned in the form?
A: No, foster care providers are expected to strictly adhere to the code of ethics and mutual responsibilities mentioned in the form.

Q: What happens if a foster care provider violates the code of ethics or fails to fulfill their responsibilities?
A: If a foster care provider violates the code of ethics or fails to fulfill their responsibilities, they may face consequences such as loss of foster care placement or legal action.

Q: Does Form 032-04-0029-02 apply to all foster care providers in Virginia?
A: Yes, Form 032-04-0029-02 applies to all foster care providers in Virginia who have entered into an agreement with the relevant government agency.

ADVERTISEMENT

Form Details:

  • Released on September 1, 2017;
  • The latest edition provided by the Virginia Department of Social Services;
  • Easy to use and ready to print;
  • Quick to customize;
  • Compatible with most PDF-viewing applications;
  • Fill out the form in our online filing application.

Download a printable version of Form 032-04-0029-02 by clicking the link below or browse more documents and templates provided by the Virginia Department of Social Services.

Download Form 032-04-0029-02 Foster Care Agreement: Code of Ethics and Mutual Responsibilities - Virginia

4.4 of 5 (14 votes)
  • Form 032-04-0029-02 Foster Care Agreement: Code of Ethics and Mutual Responsibilities - Virginia

    1

  • Form 032-04-0029-02 Foster Care Agreement: Code of Ethics and Mutual Responsibilities - Virginia, Page 2

    2

  • Form 032-04-0029-02 Foster Care Agreement: Code of Ethics and Mutual Responsibilities - Virginia, Page 3

    3

  • Form 032-04-0029-02 Foster Care Agreement: Code of Ethics and Mutual Responsibilities - Virginia, Page 4

    4

  • Form 032-04-0029-02 Foster Care Agreement: Code of Ethics and Mutual Responsibilities - Virginia, Page 1
  • Form 032-04-0029-02 Foster Care Agreement: Code of Ethics and Mutual Responsibilities - Virginia, Page 2
  • Form 032-04-0029-02 Foster Care Agreement: Code of Ethics and Mutual Responsibilities - Virginia, Page 3
  • Form 032-04-0029-02 Foster Care Agreement: Code of Ethics and Mutual Responsibilities - Virginia, Page 4
Prev 1 2 3 4 Next
ADVERTISEMENT