Out-of-State Nurse Aide Application to Become an Illinois Certified Nurse Aide (Cna) - Illinois

Out-of-State Nurse Aide Application to Become an Illinois Certified Nurse Aide (Cna) - Illinois

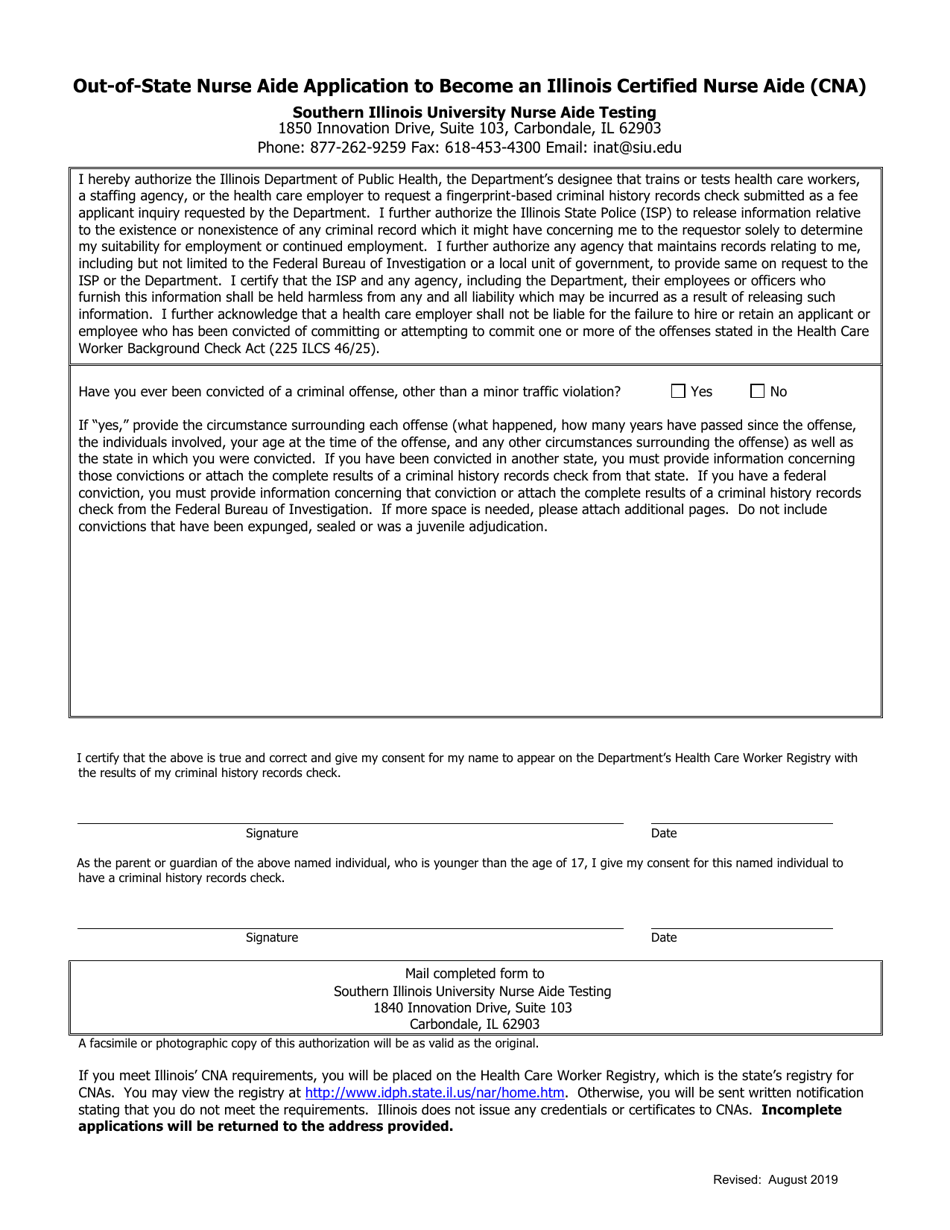
Out-of-State Certified Nurse Aide (Cna) is a legal document that was released by the Illinois Department of Public Health - a government authority operating within Illinois.

FAQ

Q: What is an Out-of-State Nurse Aide Application?
A: The Out-of-State Nurse Aide Application is a form for nurse aides who are certified in another state and want to become certified in the state of Illinois.

Q: What is a Certified Nurse Aide (CNA)?
A: A Certified Nurse Aide (CNA) is a healthcare professional who provides basic nursing care under the supervision of a licensed nurse.

Q: How do I apply to become an Illinois Certified Nurse Aide (CNA) as an out-of-state nurse aide?
A: You can apply by completing the Out-of-State Nurse Aide Application form and submitting it to the Illinois Department of Public Health.

Q: What are the requirements to become an Illinois Certified Nurse Aide (CNA) as an out-of-state nurse aide?
A: The requirements include being certified as a nurse aide in another state, submitting the Out-of-State Nurse Aide Application form, and meeting the Illinois requirements for nurse aide certification.

Q: What documents do I need to submit with the Out-of-State Nurse Aide Application?
A: You will need to submit documentation of your current nurse aide certification, including proof of training and competency evaluation.

Q: What is the processing time for the Out-of-State Nurse Aide Application?
A: The processing time may vary, but it typically takes around 30 days.

Q: What happens after my Out-of-State Nurse Aide Application is approved?
A: Once your application is approved, you will be issued an Illinois Certified Nurse Aide (CNA) certificate, and your information will be added to the Health Care Worker Registry.

Q: Can I work as a Certified Nurse Aide (CNA) in Illinois with an out-of-state certification?
A: No, you need to become certified in Illinois to work as a Certified Nurse Aide (CNA) in the state.

Q: How long is the Illinois Certified Nurse Aide (CNA) certification valid for?
A: The certification is valid for 24 months and needs to be renewed before it expires.

ADVERTISEMENT

Form Details:

  • Released on August 1, 2019;
  • The latest edition currently provided by the Illinois Department of Public Health;
  • Ready to use and print;
  • Easy to customize;
  • Compatible with most PDF-viewing applications;
  • Fill out the form in our online filing application.

Download a fillable version of the form by clicking the link below or browse more documents and templates provided by the Illinois Department of Public Health.

Download Out-of-State Nurse Aide Application to Become an Illinois Certified Nurse Aide (Cna) - Illinois

4.6 of 5 (22 votes)
  • Out-of-State Nurse Aide Application to Become an Illinois Certified Nurse Aide (Cna) - Illinois

    1

  • Out-of-State Nurse Aide Application to Become an Illinois Certified Nurse Aide (Cna) - Illinois, Page 2

    2

  • Out-of-State Nurse Aide Application to Become an Illinois Certified Nurse Aide (Cna) - Illinois, Page 1
  • Out-of-State Nurse Aide Application to Become an Illinois Certified Nurse Aide (Cna) - Illinois, Page 2
Prev 1 2 Next
ADVERTISEMENT