Instructions for Form NHDES-A-01-016 Asbestos Demolition / Renovation Notification Form - New Hampshire

Instructions for Form NHDES-A-01-016 Asbestos Demolition / Renovation Notification Form - New Hampshire

This document contains official instructions for Form NHDES-A-01-016 , Asbestos Demolition/Renovation Notification Form - a form released and collected by the New Hampshire Department of Environmental Services. An up-to-date fillable Form NHDES-A-01-016 is available for download through this link.

FAQ

Q: What is Form NHDES-A-01-016?
A: Form NHDES-A-01-016 is the Asbestos Demolition/Renovation Notification Form in New Hampshire.

Q: What is the purpose of Form NHDES-A-01-016?
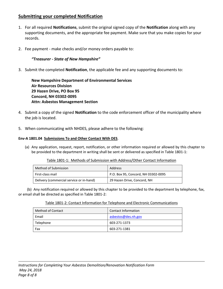
A: The purpose of Form NHDES-A-01-016 is to notify the New Hampshire Department of Environmental Services (NHDES) about any planned demolition or renovation activities that may involve asbestos.

Q: When should Form NHDES-A-01-016 be submitted?
A: Form NHDES-A-01-016 should be submitted at least 10 working days prior to the start of demolition or renovation activities.

Q: Who should submit Form NHDES-A-01-016?
A: The owner or operator of the facility where the demolition or renovation activities will take place should submit Form NHDES-A-01-016.

Q: What information is required on Form NHDES-A-01-016?
A: Form NHDES-A-01-016 requires information about the facility, asbestos-containing materials present, and the planned demolition or renovation activities.

Q: What happens after Form NHDES-A-01-016 is submitted?
A: After Form NHDES-A-01-016 is submitted, NHDES will review the notification and may require additional information. Once approved, a notification letter will be sent to the submitter.

Q: Are there any penalties for not submitting Form NHDES-A-01-016?
A: Yes, failure to submit Form NHDES-A-01-016 or providing false information may result in penalties and enforcement actions by NHDES.

ADVERTISEMENT

Instruction Details:

  • This 8-page document is available for download in PDF;
  • Actual and applicable for the current year;
  • Complete, printable, and free.

Download your copy of the instructions by clicking the link below or browse hundreds of other forms in our library of forms released by the New Hampshire Department of Environmental Services.

Download Instructions for Form NHDES-A-01-016 Asbestos Demolition / Renovation Notification Form - New Hampshire

4.8 of 5 (30 votes)
  • Instructions for Form NHDES-A-01-016 Asbestos Demolition/Renovation Notification Form - New Hampshire

    1

  • Instructions for Form NHDES-A-01-016 Asbestos Demolition/Renovation Notification Form - New Hampshire, Page 2

    2

  • Instructions for Form NHDES-A-01-016 Asbestos Demolition/Renovation Notification Form - New Hampshire, Page 3

    3

  • Instructions for Form NHDES-A-01-016 Asbestos Demolition/Renovation Notification Form - New Hampshire, Page 4

    4

  • Instructions for Form NHDES-A-01-016 Asbestos Demolition/Renovation Notification Form - New Hampshire, Page 5

    5

  • Instructions for Form NHDES-A-01-016 Asbestos Demolition/Renovation Notification Form - New Hampshire, Page 6

    6

  • Instructions for Form NHDES-A-01-016 Asbestos Demolition/Renovation Notification Form - New Hampshire, Page 7

    7

  • Instructions for Form NHDES-A-01-016 Asbestos Demolition/Renovation Notification Form - New Hampshire, Page 8

    8

  • Instructions for Form NHDES-A-01-016 Asbestos Demolition / Renovation Notification Form - New Hampshire, Page 1
  • Instructions for Form NHDES-A-01-016 Asbestos Demolition / Renovation Notification Form - New Hampshire, Page 2
  • Instructions for Form NHDES-A-01-016 Asbestos Demolition / Renovation Notification Form - New Hampshire, Page 3
  • Instructions for Form NHDES-A-01-016 Asbestos Demolition / Renovation Notification Form - New Hampshire, Page 4
  • Instructions for Form NHDES-A-01-016 Asbestos Demolition / Renovation Notification Form - New Hampshire, Page 5
  • Instructions for Form NHDES-A-01-016 Asbestos Demolition / Renovation Notification Form - New Hampshire, Page 6
  • Instructions for Form NHDES-A-01-016 Asbestos Demolition / Renovation Notification Form - New Hampshire, Page 7
  • Instructions for Form NHDES-A-01-016 Asbestos Demolition / Renovation Notification Form - New Hampshire, Page 8
Prev 1 2 3 4 5 ... 8 Next
ADVERTISEMENT