Instructions for Form NJ-1080-C, NJ-1080E Nonresident Composite Return - New Jersey

Notification Icon This version of the form is not currently in use and is provided for reference only. Download this version of Instructions for Form NJ-1080-C, NJ-1080E for the current year.

Instructions for Form NJ-1080-C, NJ-1080E Nonresident Composite Return - New Jersey

This document contains official instructions for Form NJ-1080-C , and Form NJ-1080E . Both forms are released and collected by the New Jersey Department of the Treasury. An up-to-date fillable Form NJ-1080E is available for download through this link.

FAQ

Q: What is Form NJ-1080-C?
A: Form NJ-1080-C is a tax form used by nonresident individuals to file a composite return in the state of New Jersey.

Q: What is Form NJ-1080E?
A: Form NJ-1080E is a tax form used by nonresident entities to file a composite return in the state of New Jersey.

Q: Who needs to file Form NJ-1080-C?
A: Nonresident individuals who are part of a composite return in the state of New Jersey need to file Form NJ-1080-C.

Q: Who needs to file Form NJ-1080E?
A: Nonresident entities who are part of a composite return in the state of New Jersey need to file Form NJ-1080E.

Q: What is a composite return?
A: A composite return is a tax return filed on behalf of nonresident individuals or entities that are part of a group, allowing them to report and pay their share of taxes.

Q: Do nonresidents need to file a separate tax return in New Jersey?
A: No, nonresidents who are part of a composite return do not need to file a separate tax return in New Jersey.

Q: What types of income should be reported on Form NJ-1080-C and Form NJ-1080E?
A: Form NJ-1080-C and Form NJ-1080E should be used to report income from New Jersey sources only.

Q: What is the due date for Form NJ-1080-C and Form NJ-1080E?
A: Form NJ-1080-C and Form NJ-1080E are due on or before the 15th day of the fourth month following the close of the tax year.

Q: Are there any penalties for not filing Form NJ-1080-C and Form NJ-1080E?
A: Yes, failure to file Form NJ-1080-C and Form NJ-1080E may result in penalties and interest being assessed by the state of New Jersey.

ADVERTISEMENT

Instruction Details:

  • This 8-page document is available for download in PDF;
  • Might not be applicable for the current year. Choose a more recent version;
  • Complete, printable, and free.

Download your copy of the instructions by clicking the link below or browse hundreds of other forms in our library of forms released by the New Jersey Department of the Treasury.

Download Instructions for Form NJ-1080-C, NJ-1080E Nonresident Composite Return - New Jersey

4.8 of 5 (18 votes)
  • Instructions for Form NJ-1080-C, NJ-1080E Nonresident Composite Return - New Jersey

    1

  • Instructions for Form NJ-1080-C, NJ-1080E Nonresident Composite Return - New Jersey, Page 2

    2

  • Instructions for Form NJ-1080-C, NJ-1080E Nonresident Composite Return - New Jersey, Page 3

    3

  • Instructions for Form NJ-1080-C, NJ-1080E Nonresident Composite Return - New Jersey, Page 4

    4

  • Instructions for Form NJ-1080-C, NJ-1080E Nonresident Composite Return - New Jersey, Page 5

    5

  • Instructions for Form NJ-1080-C, NJ-1080E Nonresident Composite Return - New Jersey, Page 6

    6

  • Instructions for Form NJ-1080-C, NJ-1080E Nonresident Composite Return - New Jersey, Page 7

    7

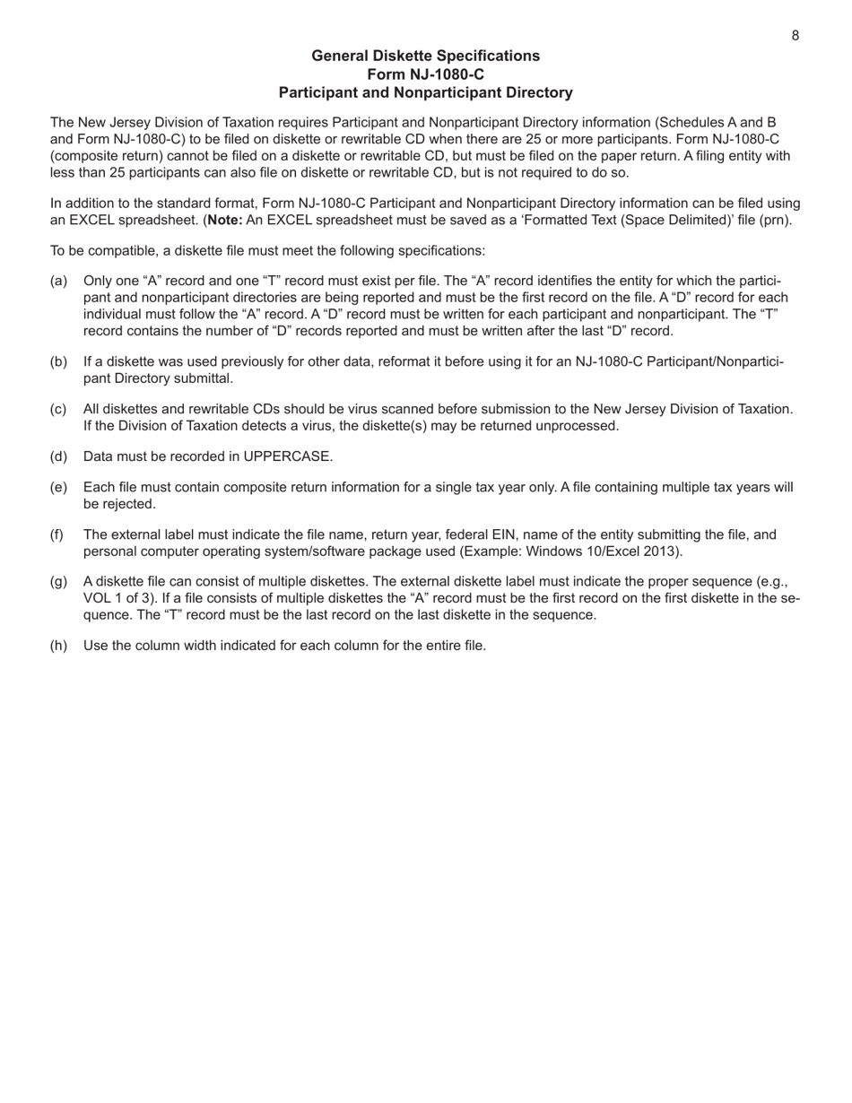
  • Instructions for Form NJ-1080-C, NJ-1080E Nonresident Composite Return - New Jersey, Page 8

    8

  • Instructions for Form NJ-1080-C, NJ-1080E Nonresident Composite Return - New Jersey, Page 1
  • Instructions for Form NJ-1080-C, NJ-1080E Nonresident Composite Return - New Jersey, Page 2
  • Instructions for Form NJ-1080-C, NJ-1080E Nonresident Composite Return - New Jersey, Page 3
  • Instructions for Form NJ-1080-C, NJ-1080E Nonresident Composite Return - New Jersey, Page 4
  • Instructions for Form NJ-1080-C, NJ-1080E Nonresident Composite Return - New Jersey, Page 5
  • Instructions for Form NJ-1080-C, NJ-1080E Nonresident Composite Return - New Jersey, Page 6
  • Instructions for Form NJ-1080-C, NJ-1080E Nonresident Composite Return - New Jersey, Page 7
  • Instructions for Form NJ-1080-C, NJ-1080E Nonresident Composite Return - New Jersey, Page 8
Prev 1 2 3 4 5 ... 8 Next
ADVERTISEMENT