State Accounting Form D-90 Employee's Designation of Beneficiary - Hawaii

State Accounting Form D-90 Employee's Designation of Beneficiary - Hawaii

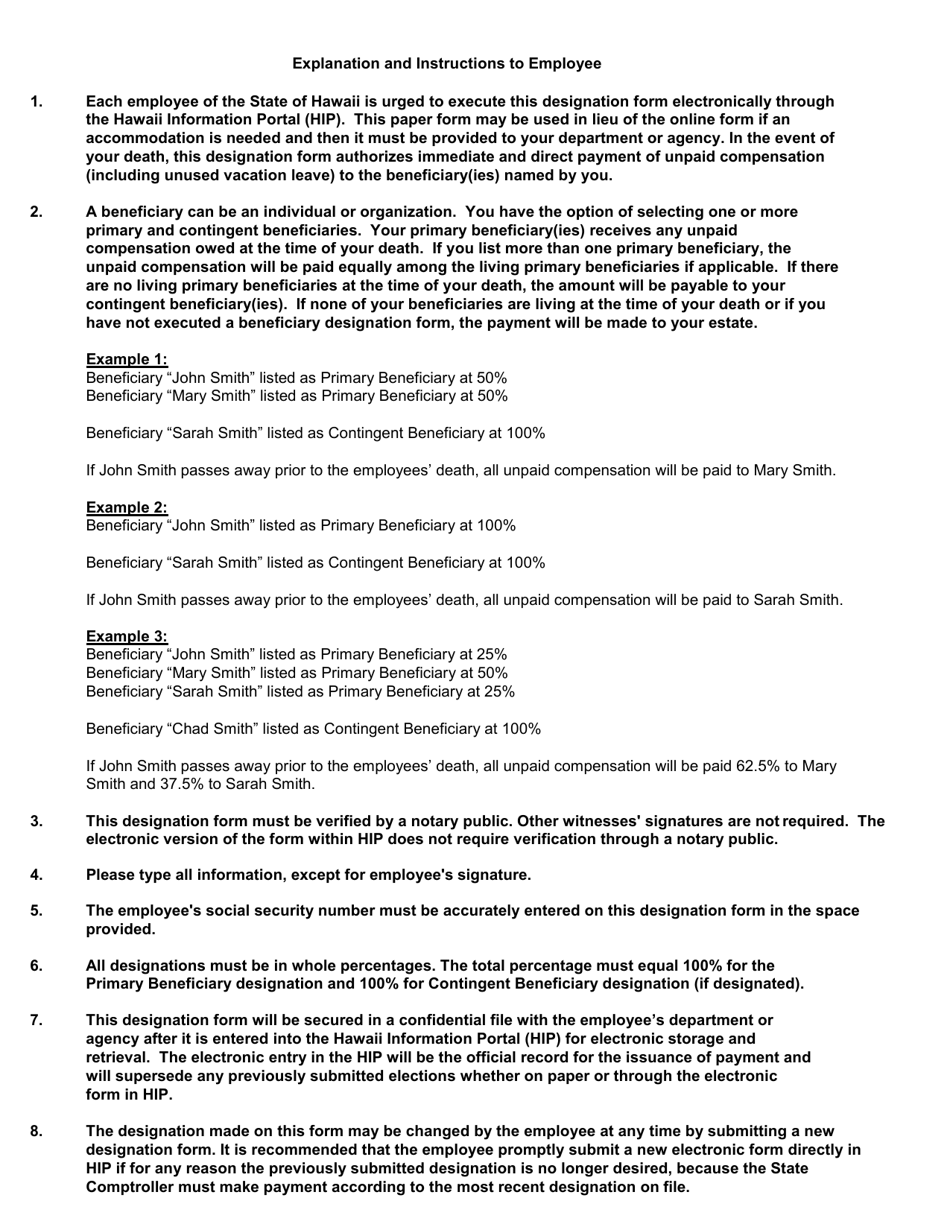
What Is State Accounting Form D-90?

This is a legal form that was released by the Hawaii Department of Accounting & General Services - a government authority operating within Hawaii. As of today, no separate filing guidelines for the form are provided by the issuing department.

FAQ

Q: What is Form D-90?
A: Form D-90 is the Employee's Designation of Beneficiary form.

Q: Why do I need to fill out Form D-90?
A: You need to fill out Form D-90 to designate your beneficiary for employee benefits in the state of Hawaii.

Q: What employee benefits does Form D-90 apply to?
A: Form D-90 applies to employee benefits such as life insurance and retirement plans.

Q: Can I change my beneficiary after submitting Form D-90?
A: Yes, you can change your beneficiary by submitting a new Form D-90 to your employer or the applicable state agency.

Q: Is Form D-90 specific to Hawaii?
A: Yes, Form D-90 is specific to the state of Hawaii.

Q: Is Form D-90 mandatory?
A: Filling out Form D-90 is not mandatory, but it is recommended to ensure that your employee benefits go to your designated beneficiary.

Q: Are there any fees associated with Form D-90?
A: There are no fees associated with submitting Form D-90.

Q: Is Form D-90 confidential?
A: The information provided on Form D-90 is confidential and will only be disclosed to authorized personnel as required by law.

ADVERTISEMENT

Form Details:

  • Released on November 1, 2019;
  • The latest edition provided by the Hawaii Department of Accounting & General Services;
  • Easy to use and ready to print;
  • Quick to customize;
  • Compatible with most PDF-viewing applications;
  • Fill out the form in our online filing application.

Download a fillable version of State Accounting Form D-90 by clicking the link below or browse more documents and templates provided by the Hawaii Department of Accounting & General Services.

Download State Accounting Form D-90 Employee's Designation of Beneficiary - Hawaii

4.4 of 5 (5 votes)
  • State Accounting Form D-90 Employee's Designation of Beneficiary - Hawaii

    1

  • State Accounting Form D-90 Employee's Designation of Beneficiary - Hawaii, Page 2

    2

  • State Accounting Form D-90 Employees Designation of Beneficiary - Hawaii, Page 1
  • State Accounting Form D-90 Employees Designation of Beneficiary - Hawaii, Page 2
Prev 1 2 Next
ADVERTISEMENT