Hrs 6e Submittal Form - Hawaii

Hrs 6e Submittal Form - Hawaii

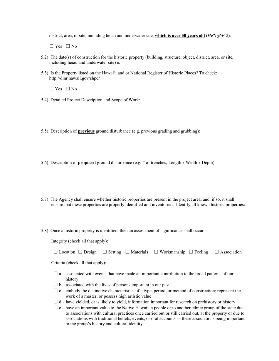
Hrs 6e Submittal Form is a legal document that was released by the Hawaii Department of Land & Natural Resources - a government authority operating within Hawaii.

FAQ

Q: What is the Hrs 6e Submittal Form?
A: The Hrs 6e Submittal Form is a document required by the state of Hawaii.

Q: What is the purpose of the Hrs 6e Submittal Form?
A: The purpose of the Hrs 6e Submittal Form is to submit information about hazardous waste activities to the appropriate authorities in Hawaii.

Q: Who needs to complete the Hrs 6e Submittal Form?
A: Any entity or individual involved in hazardous waste activities in Hawaii needs to complete the Hrs 6e Submittal Form.

Q: What information is required on the Hrs 6e Submittal Form?
A: The Hrs 6e Submittal Form requires information about the types of hazardous waste generated, treatment or disposal methods used, and the overall management of hazardous waste activities.

Q: When is the deadline to submit the Hrs 6e Submittal Form?
A: The deadline to submit the Hrs 6e Submittal Form is determined by the Hawaii Department of Health and may vary depending on the specific requirements for your hazardous waste activities.

Q: What are the consequences of not submitting the Hrs 6e Submittal Form?
A: Failure to submit the Hrs 6e Submittal Form or providing false information can result in penalties and fines imposed by the Hawaii Department of Health.

Q: Is there a fee to submit the Hrs 6e Submittal Form?
A: Yes, there may be a fee associated with submitting the Hrs 6e Submittal Form. The fee amount and payment details can be obtained from the Hawaii Department of Health.

Q: Is the Hrs 6e Submittal Form required annually?
A: Yes, the Hrs 6e Submittal Form is generally required to be submitted annually, although specific reporting frequencies may vary depending on the nature of your hazardous waste activities.

ADVERTISEMENT

Form Details:

  • The latest edition currently provided by the Hawaii Department of Land & Natural Resources;
  • Ready to use and print;
  • Easy to customize;
  • Compatible with most PDF-viewing applications;
  • Fill out the form in our online filing application.

Download a fillable version of the form by clicking the link below or browse more documents and templates provided by the Hawaii Department of Land & Natural Resources.

Download Hrs 6e Submittal Form - Hawaii

4.7 of 5 (13 votes)
  • Hrs 6e Submittal Form - Hawaii

    1

  • Hrs 6e Submittal Form - Hawaii, Page 2

    2

  • Hrs 6e Submittal Form - Hawaii, Page 3

    3

  • Hrs 6e Submittal Form - Hawaii, Page 4

    4

  • Hrs 6e Submittal Form - Hawaii, Page 1
  • Hrs 6e Submittal Form - Hawaii, Page 2
  • Hrs 6e Submittal Form - Hawaii, Page 3
  • Hrs 6e Submittal Form - Hawaii, Page 4
Prev 1 2 3 4 Next
ADVERTISEMENT

Related Documents