Form 1F-P-1098 Order / Notice to Withhold Income for Support - Hawaii

Notification Icon This version of the form is not currently in use and is provided for reference only. Download this version of Form 1F-P-1098 for the current year.

Form 1F-P-1098 Order / Notice to Withhold Income for Support - Hawaii

What Is Form 1F-P-1098?

This is a legal form that was released by the Hawaii Family Court - a government authority operating within Hawaii. Check the official instructions before completing and submitting the form.

FAQ

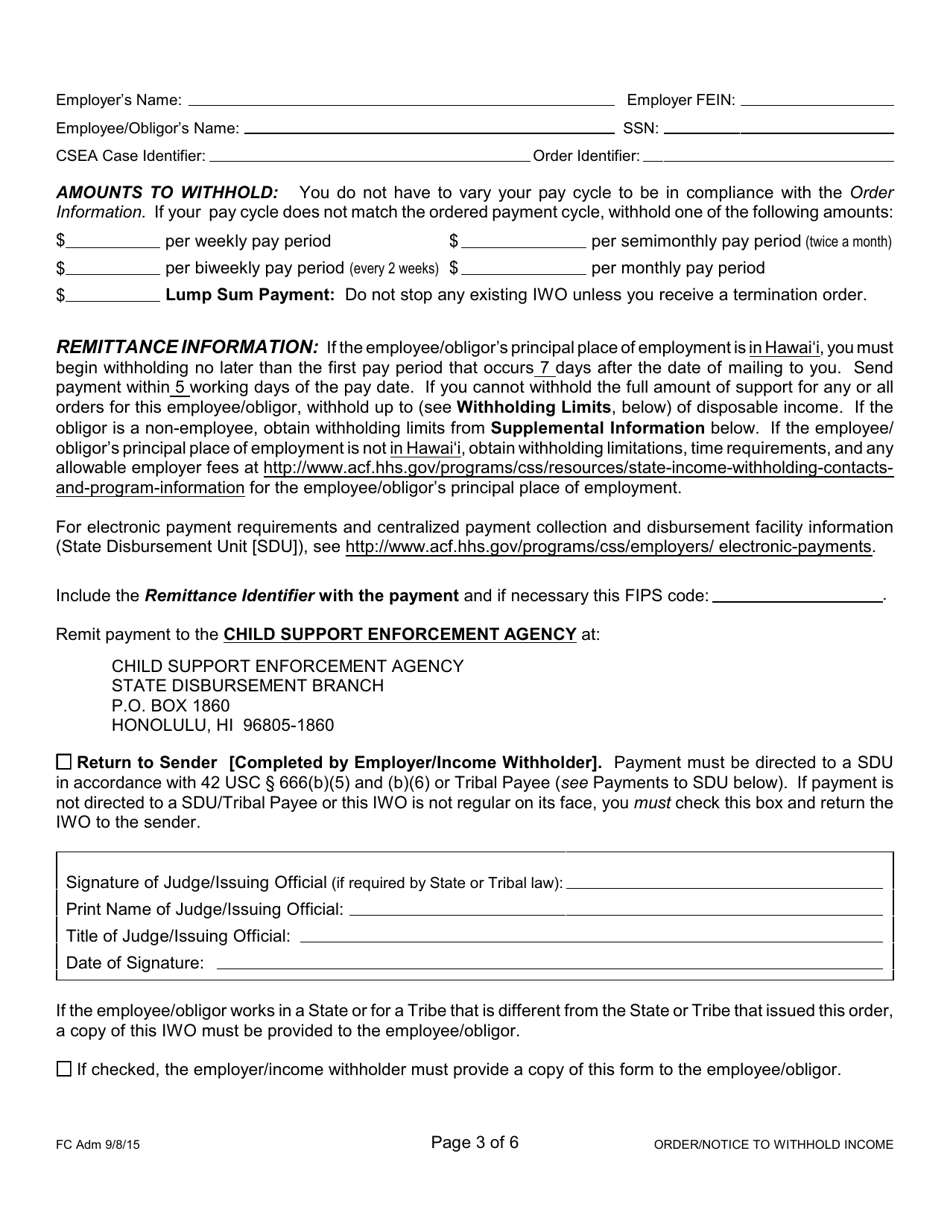
Q: What is Form 1F-P-1098?
A: Form 1F-P-1098 is an Order/Notice to Withhold Income for Support document in Hawaii.

Q: What is the purpose of Form 1F-P-1098?
A: The purpose of Form 1F-P-1098 is to inform an employer to withhold income from an employee's paycheck for child or spousal support.

Q: Who uses Form 1F-P-1098?
A: This form is used by Hawaiian employers to comply with court-ordered obligations for child or spousal support.

Q: Is Form 1F-P-1098 specific to Hawaii?
A: Yes, Form 1F-P-1098 is specific to Hawaii and is not used in other states.

Q: Are there any fees associated with Form 1F-P-1098?
A: There are no fees associated with obtaining or filing Form 1F-P-1098.

Q: Can I modify Form 1F-P-1098?
A: No, Form 1F-P-1098 should not be modified. It should be completed as-is and submitted to the appropriate party.

Q: What should I do if I receive Form 1F-P-1098 as an employer?
A: As an employer, if you receive Form 1F-P-1098, you should follow the instructions provided and begin withholding the specified amount from the employee's paycheck.

Q: What should I do if I receive Form 1F-P-1098 as an employee?
A: As an employee, if you receive Form 1F-P-1098, you should review the information and contact the appropriate party if you have any questions or concerns.

Q: Can I ignore or refuse to comply with Form 1F-P-1098?
A: No, it is important to comply with Form 1F-P-1098 as it is a court-ordered obligation.

ADVERTISEMENT

Form Details:

  • Released on November 1, 2017;
  • The latest edition provided by the Hawaii Family Court;
  • Easy to use and ready to print;
  • Quick to customize;
  • Compatible with most PDF-viewing applications;
  • Fill out the form in our online filing application.

Download a fillable version of Form 1F-P-1098 by clicking the link below or browse more documents and templates provided by the Hawaii Family Court.

Download Form 1F-P-1098 Order / Notice to Withhold Income for Support - Hawaii

4.4 of 5 (18 votes)
  • Form 1F-P-1098 Order/Notice to Withhold Income for Support - Hawaii

    1

  • Form 1F-P-1098 Order/Notice to Withhold Income for Support - Hawaii, Page 2

    2

  • Form 1F-P-1098 Order/Notice to Withhold Income for Support - Hawaii, Page 3

    3

  • Form 1F-P-1098 Order/Notice to Withhold Income for Support - Hawaii, Page 4

    4

  • Form 1F-P-1098 Order/Notice to Withhold Income for Support - Hawaii, Page 5

    5

  • Form 1F-P-1098 Order/Notice to Withhold Income for Support - Hawaii, Page 6

    6

  • Form 1F-P-1098 Order / Notice to Withhold Income for Support - Hawaii, Page 1
  • Form 1F-P-1098 Order / Notice to Withhold Income for Support - Hawaii, Page 2
  • Form 1F-P-1098 Order / Notice to Withhold Income for Support - Hawaii, Page 3
  • Form 1F-P-1098 Order / Notice to Withhold Income for Support - Hawaii, Page 4
  • Form 1F-P-1098 Order / Notice to Withhold Income for Support - Hawaii, Page 5
  • Form 1F-P-1098 Order / Notice to Withhold Income for Support - Hawaii, Page 6
Prev 1 2 3 4 5 6 Next
ADVERTISEMENT

Related Documents