Form 1F-P-2009 Specific Consent to Adoption - Hawaii

Notification Icon This version of the form is not currently in use and is provided for reference only. Download this version of Form 1F-P-2009 for the current year.

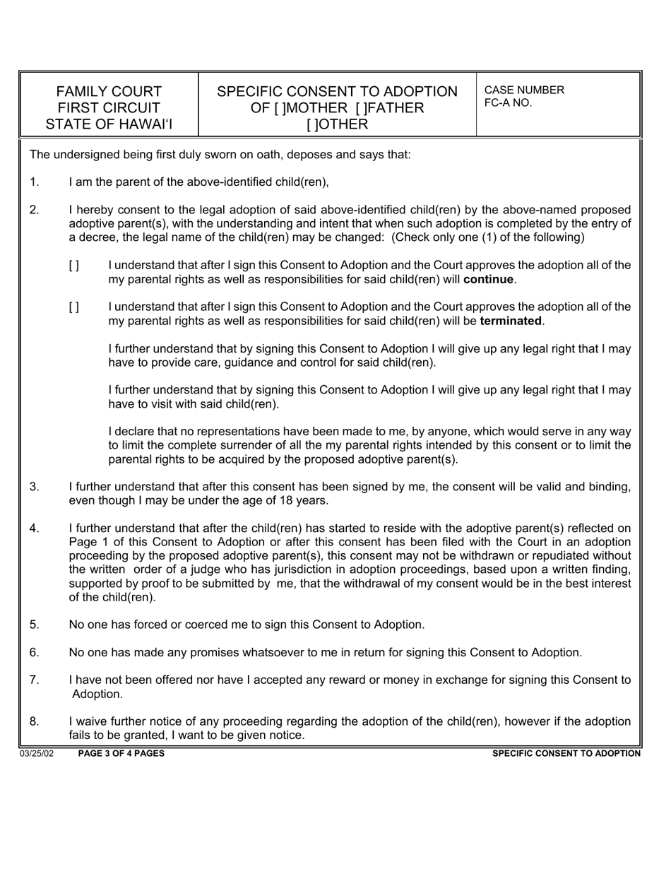
Form 1F-P-2009 Specific Consent to Adoption - Hawaii

What Is Form 1F-P-2009?

This is a legal form that was released by the Hawaii Family Court - a government authority operating within Hawaii. As of today, no separate filing guidelines for the form are provided by the issuing department.

FAQ

Q: What is Form 1F-P-2009?
A: Form 1F-P-2009 is a Specific Consent to Adoption form used in Hawaii.

Q: What is the purpose of Form 1F-P-2009?
A: The purpose of Form 1F-P-2009 is to provide specific consent to adoption.

Q: Who uses Form 1F-P-2009?
A: This form is used by birth parents or legal guardians who wish to provide specific consent for an adoption.

Q: How do I fill out Form 1F-P-2009?
A: To fill out Form 1F-P-2009, you will need to provide your personal information, information about the child, and indicate your consent for the adoption.

Q: Are there any fees associated with Form 1F-P-2009?
A: There may be filing fees associated with submitting Form 1F-P-2009. Please check with the relevant adoption agency or court for more information.

ADVERTISEMENT

Form Details:

  • Released on December 1, 2017;
  • The latest edition provided by the Hawaii Family Court;
  • Easy to use and ready to print;
  • Quick to customize;
  • Compatible with most PDF-viewing applications;
  • Fill out the form in our online filing application.

Download a printable version of Form 1F-P-2009 by clicking the link below or browse more documents and templates provided by the Hawaii Family Court.

Download Form 1F-P-2009 Specific Consent to Adoption - Hawaii

4.7 of 5 (14 votes)
  • Form 1F-P-2009 Specific Consent to Adoption - Hawaii

    1

  • Form 1F-P-2009 Specific Consent to Adoption - Hawaii, Page 2

    2

  • Form 1F-P-2009 Specific Consent to Adoption - Hawaii, Page 3

    3

  • Form 1F-P-2009 Specific Consent to Adoption - Hawaii, Page 4

    4

  • Form 1F-P-2009 Specific Consent to Adoption - Hawaii, Page 1
  • Form 1F-P-2009 Specific Consent to Adoption - Hawaii, Page 2
  • Form 1F-P-2009 Specific Consent to Adoption - Hawaii, Page 3
  • Form 1F-P-2009 Specific Consent to Adoption - Hawaii, Page 4
Prev 1 2 3 4 Next
ADVERTISEMENT