Form CFS672-6 License Exemption for School-Aged Child Care Programs Seeking Child Care Assistance Program (Ccap) Approval - Illinois

Form CFS672-6 License Exemption for School-Aged Child Care Programs Seeking Child Care Assistance Program (Ccap) Approval - Illinois

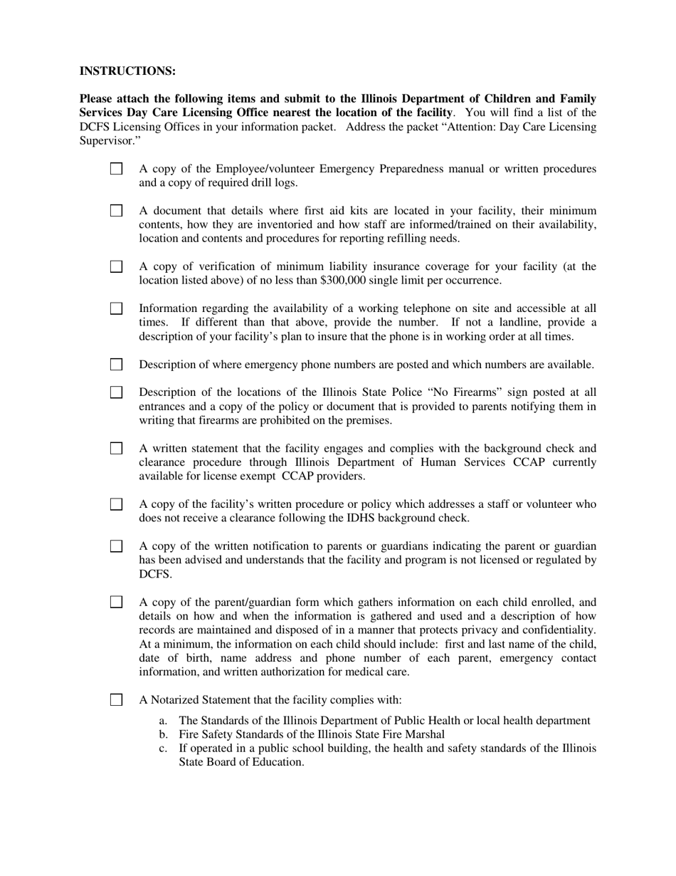
What Is Form CFS672-6?

This is a legal form that was released by the Illinois Department of Children and Family Services - a government authority operating within Illinois. As of today, no separate filing guidelines for the form are provided by the issuing department.

FAQ

Q: What is Form CFS672-6?
A: Form CFS672-6 is a document used in Illinois for child care programs seeking Child Care Assistance Program (CCAP) approval.

Q: What does Form CFS672-6 exempt?
A: Form CFS672-6 exempts school-aged child care programs from certain licensing requirements.

Q: What is the purpose of the Child Care Assistance Program (CCAP) in Illinois?
A: The Child Care Assistance Program (CCAP) in Illinois provides financial assistance to low-income families to help them afford child care services.

Q: How can school-aged child care programs apply for CCAP approval?
A: School-aged child care programs can apply for CCAP approval by submitting Form CFS672-6.

Q: Is Form CFS672-6 specific to Illinois?
A: Yes, Form CFS672-6 is specific to Illinois and is used for child care programs seeking CCAP approval in the state.

Q: What are the licensing requirements that school-aged child care programs are exempt from with Form CFS672-6?
A: With Form CFS672-6, school-aged child care programs are exempt from certain licensing requirements as determined by the state of Illinois.

Q: Is Form CFS672-6 a mandatory form for school-aged child care programs seeking CCAP approval?
A: Yes, school-aged child care programs seeking CCAP approval in Illinois are required to submit Form CFS672-6.

Q: What is the deadline for submitting Form CFS672-6?
A: The deadline for submitting Form CFS672-6 may vary, and it is recommended to check with the Illinois Department of Children and Family Services (DCFS) for the specific deadline.

Q: Who is eligible for the Child Care Assistance Program (CCAP)?
A: Low-income families in Illinois are eligible for the Child Care Assistance Program (CCAP) if they meet the income and other eligibility criteria set by the state.

Q: What is the purpose of the licensing requirements for child care programs?
A: Licensing requirements for child care programs aim to ensure the safety, health, and well-being of children in these programs.

ADVERTISEMENT

Form Details:

  • Released on June 1, 2017;
  • The latest edition provided by the Illinois Department of Children and Family Services;
  • Easy to use and ready to print;
  • Quick to customize;
  • Compatible with most PDF-viewing applications;
  • Fill out the form in our online filing application.

Download a fillable version of Form CFS672-6 by clicking the link below or browse more documents and templates provided by the Illinois Department of Children and Family Services.

Download Form CFS672-6 License Exemption for School-Aged Child Care Programs Seeking Child Care Assistance Program (Ccap) Approval - Illinois

4.4 of 5 (7 votes)
  • Form CFS672-6 License Exemption for School-Aged Child Care Programs Seeking Child Care Assistance Program (Ccap) Approval - Illinois

    1

  • Form CFS672-6 License Exemption for School-Aged Child Care Programs Seeking Child Care Assistance Program (Ccap) Approval - Illinois, Page 2

    2

  • Form CFS672-6 License Exemption for School-Aged Child Care Programs Seeking Child Care Assistance Program (Ccap) Approval - Illinois, Page 3

    3

  • Form CFS672-6 License Exemption for School-Aged Child Care Programs Seeking Child Care Assistance Program (Ccap) Approval - Illinois, Page 4

    4

  • Form CFS672-6 License Exemption for School-Aged Child Care Programs Seeking Child Care Assistance Program (Ccap) Approval - Illinois, Page 1
  • Form CFS672-6 License Exemption for School-Aged Child Care Programs Seeking Child Care Assistance Program (Ccap) Approval - Illinois, Page 2
  • Form CFS672-6 License Exemption for School-Aged Child Care Programs Seeking Child Care Assistance Program (Ccap) Approval - Illinois, Page 3
  • Form CFS672-6 License Exemption for School-Aged Child Care Programs Seeking Child Care Assistance Program (Ccap) Approval - Illinois, Page 4
Prev 1 2 3 4 Next
ADVERTISEMENT