Form NHJB-2334-SE Acknowledgment and Waiver of Rights - Felony - New Hampshire

Form NHJB-2334-SE Acknowledgment and Waiver of Rights - Felony - New Hampshire

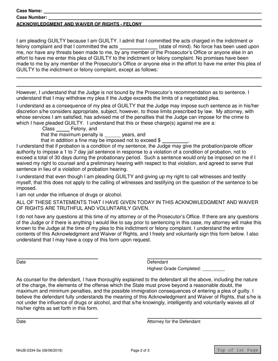
What Is Form NHJB-2334-SE?

This is a legal form that was released by the New Hampshire Judicial Branch - a government authority operating within New Hampshire. As of today, no separate filing guidelines for the form are provided by the issuing department.

FAQ

Q: What is Form NHJB-2334-SE?
A: Form NHJB-2334-SE is the Acknowledgment and Waiver of Rights form for individuals facing felony charges in New Hampshire.

Q: What is the purpose of Form NHJB-2334-SE?
A: The purpose of Form NHJB-2334-SE is for the defendant to acknowledge their rights and to waive certain rights during the felony court process.

Q: Who should use Form NHJB-2334-SE?
A: Form NHJB-2334-SE should be used by individuals facing felony charges in New Hampshire.

Q: What does waiving rights mean?
A: Waiving rights means voluntarily giving up or surrendering certain legal rights that are typically afforded to an individual.

ADVERTISEMENT

Form Details:

  • Released on August 6, 2019;
  • The latest edition provided by the New Hampshire Judicial Branch;
  • Easy to use and ready to print;
  • Quick to customize;
  • Compatible with most PDF-viewing applications;
  • Fill out the form in our online filing application.

Download a fillable version of Form NHJB-2334-SE by clicking the link below or browse more documents and templates provided by the New Hampshire Judicial Branch.

Download Form NHJB-2334-SE Acknowledgment and Waiver of Rights - Felony - New Hampshire

4.5 of 5 (19 votes)
  • Form NHJB-2334-SE Acknowledgment and Waiver of Rights - Felony - New Hampshire

    1

  • Form NHJB-2334-SE Acknowledgment and Waiver of Rights - Felony - New Hampshire, Page 2

    2

  • Form NHJB-2334-SE Acknowledgment and Waiver of Rights - Felony - New Hampshire, Page 3

    3

  • Form NHJB-2334-SE Acknowledgment and Waiver of Rights - Felony - New Hampshire, Page 1
  • Form NHJB-2334-SE Acknowledgment and Waiver of Rights - Felony - New Hampshire, Page 2
  • Form NHJB-2334-SE Acknowledgment and Waiver of Rights - Felony - New Hampshire, Page 3
Prev 1 2 3 Next
ADVERTISEMENT

Related Documents