Form NHJB-2642-SE Dwi First Offense Sentencing Order - New Hampshire

Form NHJB-2642-SE Dwi First Offense Sentencing Order - New Hampshire

What Is Form NHJB-2642-SE?

This is a legal form that was released by the New Hampshire Judicial Branch - a government authority operating within New Hampshire. As of today, no separate filing guidelines for the form are provided by the issuing department.

Form Details:

  • Released on August 6, 2019;
  • The latest edition provided by the New Hampshire Judicial Branch;
  • Easy to use and ready to print;
  • Quick to customize;
  • Compatible with most PDF-viewing applications;
  • Fill out the form in our online filing application.

Download a fillable version of Form NHJB-2642-SE by clicking the link below or browse more documents and templates provided by the New Hampshire Judicial Branch.

ADVERTISEMENT

Download Form NHJB-2642-SE Dwi First Offense Sentencing Order - New Hampshire

4.5 of 5 (24 votes)
  • Form NHJB-2642-SE Dwi First Offense Sentencing Order - New Hampshire

    1

  • Form NHJB-2642-SE Dwi First Offense Sentencing Order - New Hampshire, Page 2

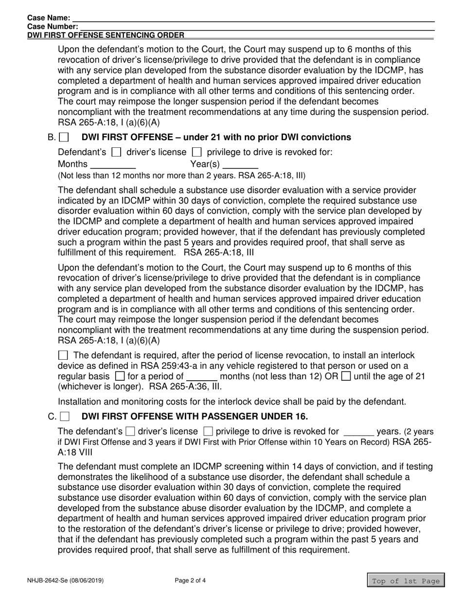
    2

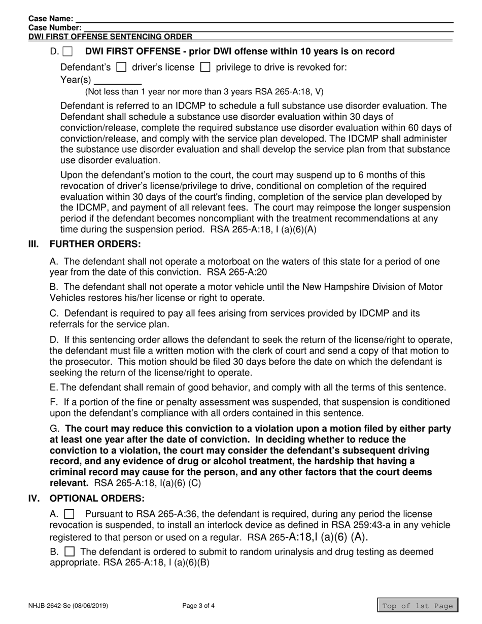
  • Form NHJB-2642-SE Dwi First Offense Sentencing Order - New Hampshire, Page 3

    3

  • Form NHJB-2642-SE Dwi First Offense Sentencing Order - New Hampshire, Page 4

    4

  • Form NHJB-2642-SE Dwi First Offense Sentencing Order - New Hampshire, Page 1
  • Form NHJB-2642-SE Dwi First Offense Sentencing Order - New Hampshire, Page 2
  • Form NHJB-2642-SE Dwi First Offense Sentencing Order - New Hampshire, Page 3
  • Form NHJB-2642-SE Dwi First Offense Sentencing Order - New Hampshire, Page 4
Prev 1 2 3 4 Next
ADVERTISEMENT