Form NHJB-3100-DSE What You Need to Know - New Hampshire

Form NHJB-3100-DSE What You Need to Know - New Hampshire

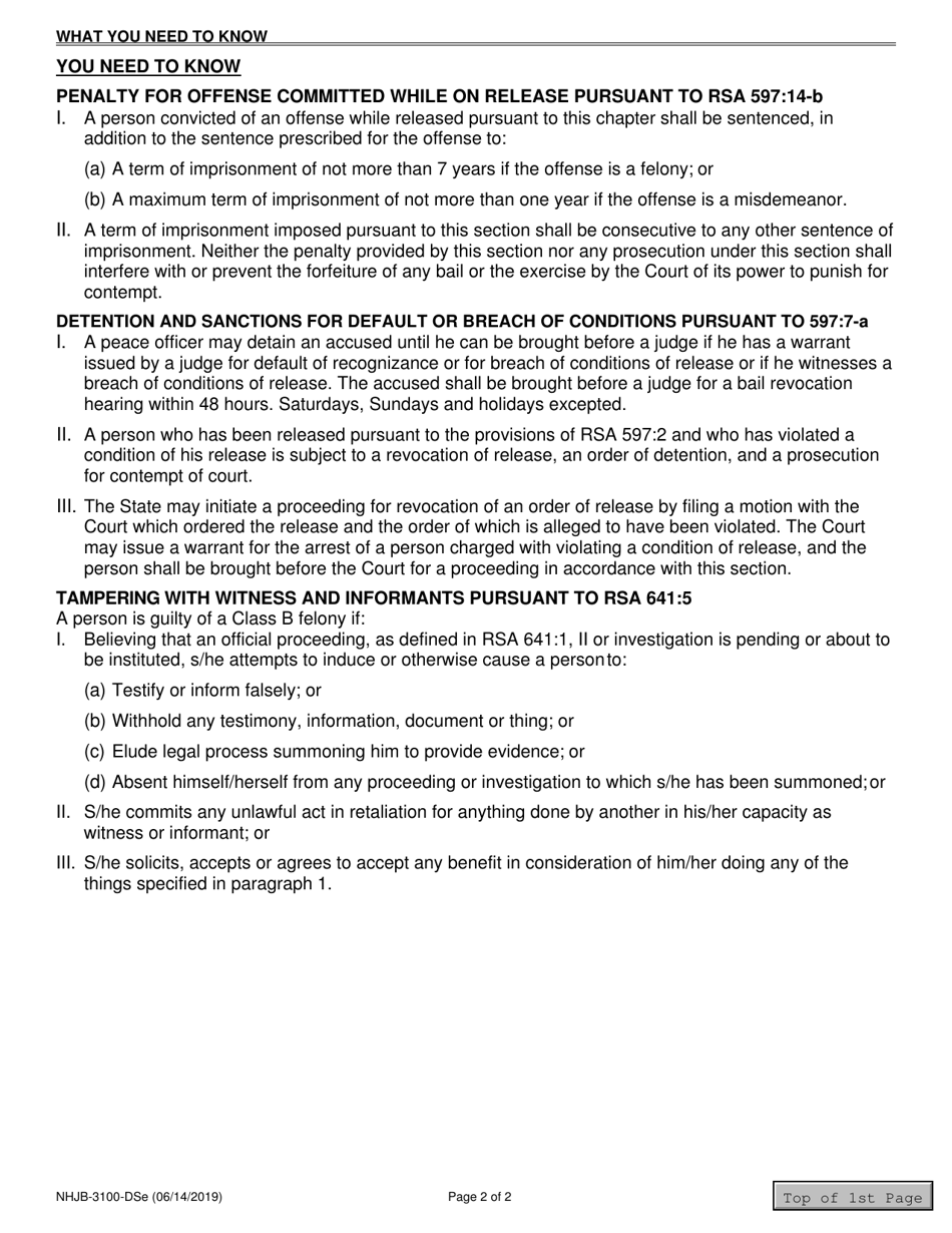
What Is Form NHJB-3100-DSE?

This is a legal form that was released by the New Hampshire Judicial Branch - a government authority operating within New Hampshire. As of today, no separate filing guidelines for the form are provided by the issuing department.

FAQ

Q: What is NHJB-3100-DSE?
A: NHJB-3100-DSE is a document used in New Hampshire courts.

Q: What does DSE stand for in NHJB-3100-DSE?
A: DSE stands for Domestic Stalking and Harassment.

Q: What do I need to know about NHJB-3100-DSE?
A: NHJB-3100-DSE provides important information about domestic stalking and harassment cases in New Hampshire.

Q: What should I do after reading NHJB-3100-DSE?
A: After reading NHJB-3100-DSE, you should consult with an attorney or a legal professional to understand how it applies to your specific situation.

ADVERTISEMENT

Form Details:

  • Released on June 14, 2019;
  • The latest edition provided by the New Hampshire Judicial Branch;
  • Easy to use and ready to print;
  • Quick to customize;
  • Compatible with most PDF-viewing applications;
  • Fill out the form in our online filing application.

Download a fillable version of Form NHJB-3100-DSE by clicking the link below or browse more documents and templates provided by the New Hampshire Judicial Branch.

Download Form NHJB-3100-DSE What You Need to Know - New Hampshire

4.8 of 5 (16 votes)
  • Form NHJB-3100-DSE What You Need to Know - New Hampshire

    1

  • Form NHJB-3100-DSE What You Need to Know - New Hampshire, Page 2

    2

  • Form NHJB-3100-DSE What You Need to Know - New Hampshire, Page 1
  • Form NHJB-3100-DSE What You Need to Know - New Hampshire, Page 2
Prev 1 2 Next
ADVERTISEMENT