Form DSMV612 Cdl Medical Card and Certification Form - New Hampshire

Notification Icon This version of the form is not currently in use and is provided for reference only. Download this version of Form DSMV612 for the current year.

Form DSMV612 Cdl Medical Card and Certification Form - New Hampshire

What Is Form DSMV612?

This is a legal form that was released by the New Hampshire Department of Safety - a government authority operating within New Hampshire. As of today, no separate filing guidelines for the form are provided by the issuing department.

FAQ

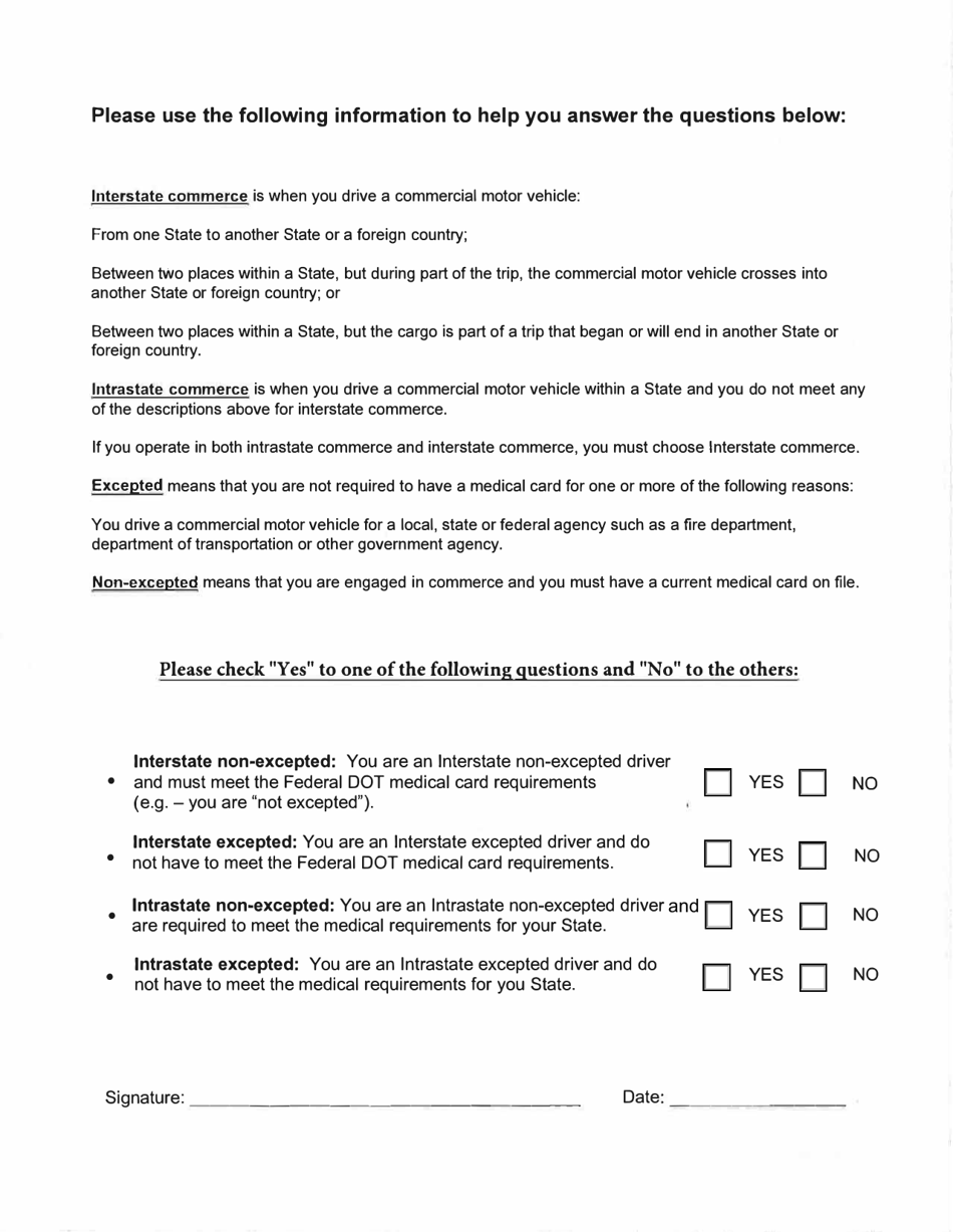
Q: What is the DSMV 612 form?
A: The DSMV 612 form is the Commercial Driver's License (CDL) Medical Card and Certification form.

Q: What is the purpose of the DSMV 612 form?
A: The purpose of the DSMV 612 form is to certify that a commercial driver meets the medical requirements to safely operate a commercial vehicle.

Q: Do I need to fill out the DSMV 612 form?
A: Yes, if you are applying for or renewing a commercial driver's license in New Hampshire, you will need to fill out the DSMV 612 form.

Q: What information is required on the DSMV 612 form?
A: The DSMV 612 form requires information such as the driver's personal details, medical history, and certification by a medical professional.

Q: Are there any fees associated with the DSMV 612 form?
A: There may be fees associated with the medical examination required to fill out the DSMV 612 form, but the form itself does not have a fee.

Q: How long is the DSMV 612 form valid for?
A: The DSMV 612 form is typically valid for up to two years, depending on the driver's medical condition.

Q: Are there any specific medical requirements to fill out the DSMV 612 form?
A: Yes, there are specific medical requirements defined by the Federal Motor Carrier Safety Administration (FMCSA) that you must meet to fill out the DSMV 612 form.

ADVERTISEMENT

Form Details:

  • Released on May 1, 2019;
  • The latest edition provided by the New Hampshire Department of Safety;
  • Easy to use and ready to print;
  • Quick to customize;
  • Compatible with most PDF-viewing applications;
  • Fill out the form in our online filing application.

Download a fillable version of Form DSMV612 by clicking the link below or browse more documents and templates provided by the New Hampshire Department of Safety.

Download Form DSMV612 Cdl Medical Card and Certification Form - New Hampshire

4.3 of 5 (24 votes)
  • Form DSMV612 Cdl Medical Card and Certification Form - New Hampshire

    1

  • Form DSMV612 Cdl Medical Card and Certification Form - New Hampshire, Page 2

    2

  • Form DSMV612 Cdl Medical Card and Certification Form - New Hampshire, Page 1
  • Form DSMV612 Cdl Medical Card and Certification Form - New Hampshire, Page 2
Prev 1 2 Next
ADVERTISEMENT