Abm Clinical Protocol #13: Contraception During Breastfeeding

Abm Clinical Protocol #13: Contraception During Breastfeeding

Abm Clinical Protocol #13: Contraception During Breastfeeding is a document created by the Academy of Breastfeeding Medicine to provide guidelines and information for healthcare providers on the use of contraception while breastfeeding.

The Abm Clinical Protocol #13: Contraception During Breastfeeding is usually filed by healthcare professionals, such as doctors or healthcare organizations.

FAQ

Q: What is Abm Clinical Protocol #13?
A: Abm Clinical Protocol #13 is a set of guidelines for healthcare providers regarding contraception during breastfeeding.

Q: Why is contraception important during breastfeeding?
A: Contraception is important during breastfeeding to prevent unintended pregnancies.

Q: Can I get pregnant while breastfeeding?
A: Yes, it is possible to get pregnant while breastfeeding, although the likelihood is lower.

Q: What are the different contraceptive methods recommended during breastfeeding?
A: The recommended contraceptive methods during breastfeeding include progestin-only methods, non-hormonal methods, and lactational amenorrhea method (LAM).

Q: Are hormonal contraceptives safe to use while breastfeeding?
A: Yes, hormonal contraceptives, particularly progestin-only methods, are considered safe and compatible with breastfeeding.

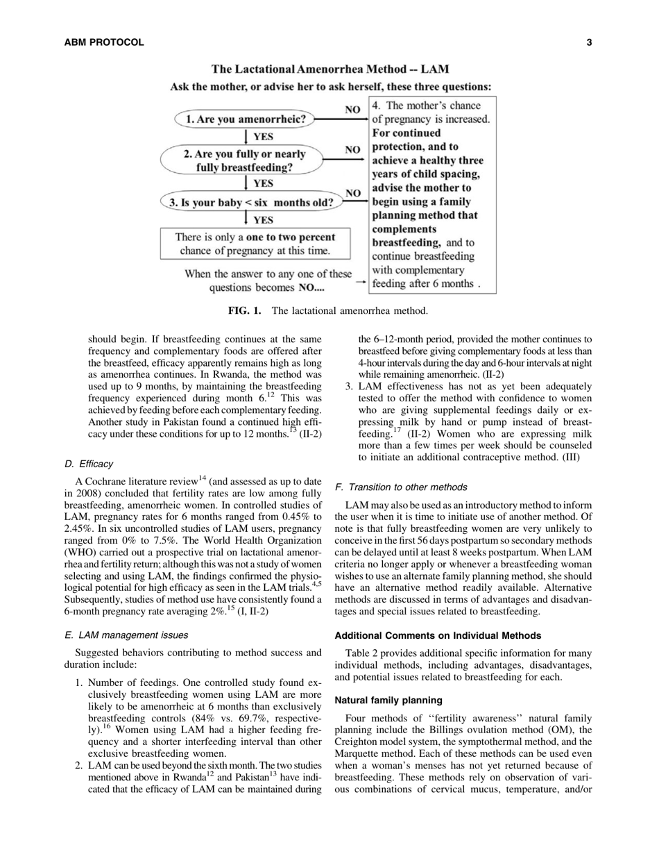
Q: What is the lactational amenorrhea method (LAM)?
A: The lactational amenorrhea method (LAM) is a temporary method of contraception that relies on exclusive breastfeeding to prevent ovulation and pregnancy.

Q: How effective is the lactational amenorrhea method (LAM)?
A: When used correctly, LAM is a highly effective method of contraception, with a failure rate of less than 2% in the first six months after childbirth.

Q: What are the advantages of non-hormonal contraceptive methods?
A: Non-hormonal contraceptive methods, such as barrier methods and copper intrauterine devices (IUDs), do not contain hormones and do not affect breastfeeding.

Q: Are there any risks or side effects associated with contraceptive use during breastfeeding?
A: Most contraceptive methods do not have significant risks or side effects for breastfeeding women and their infants. However, it is important to discuss potential risks with a healthcare provider.

ADVERTISEMENT

Download Abm Clinical Protocol #13: Contraception During Breastfeeding

4.6 of 5 (10 votes)
  • Abm Clinical Protocol #13: Contraception During Breastfeeding

    1

  • Abm Clinical Protocol #13: Contraception During Breastfeeding, Page 2

    2

  • Abm Clinical Protocol #13: Contraception During Breastfeeding, Page 3

    3

  • Abm Clinical Protocol #13: Contraception During Breastfeeding, Page 4

    4

  • Abm Clinical Protocol #13: Contraception During Breastfeeding, Page 5

    5

  • Abm Clinical Protocol #13: Contraception During Breastfeeding, Page 6

    6

  • Abm Clinical Protocol #13: Contraception During Breastfeeding, Page 7

    7

  • Abm Clinical Protocol #13: Contraception During Breastfeeding, Page 8

    8

  • Abm Clinical Protocol #13: Contraception During Breastfeeding, Page 9

    9

  • Abm Clinical Protocol #13: Contraception During Breastfeeding, Page 10

    10

  • Abm Clinical Protocol #13 Contraception, image preview
  • Abm Clinical Protocol #13: Contraception During Breastfeeding, Page 2
  • Abm Clinical Protocol #13: Contraception During Breastfeeding, Page 3
  • Abm Clinical Protocol #13: Contraception During Breastfeeding, Page 4
  • Abm Clinical Protocol #13: Contraception During Breastfeeding, Page 5
  • Abm Clinical Protocol #13: Contraception During Breastfeeding, Page 6
  • Abm Clinical Protocol #13: Contraception During Breastfeeding, Page 7
  • Abm Clinical Protocol #13: Contraception During Breastfeeding, Page 8
  • Abm Clinical Protocol #13: Contraception During Breastfeeding, Page 9
  • Abm Clinical Protocol #13: Contraception During Breastfeeding, Page 10
Prev 1 2 3 4 5 ... 10 Next
ADVERTISEMENT