Form CIT0058 Application for a Search of Citizenship Records - Canada

Notification Icon This version of the form is not currently in use and is provided for reference only. Download this version of Form CIT0058 for the current year.

Form CIT0058 Application for a Search of Citizenship Records - Canada

Form CIT0058 Application for a Search of Citizenship Records in Canada is used to request a search for a person's citizenship records in Canada. It is typically used when someone wants to obtain information about their own or someone else's citizenship status or history in Canada.

According to the Citizenship and Immigration Canada website, the CIT0058 Application for a Search of Citizenship Records is filed by the individual who wants to obtain information about their own or someone else's citizenship records in Canada.

FAQ

Q: What is CIT0058?
A: CIT0058 is the application form for a Search of Citizenship Records in Canada.

Q: Why would I need to fill out CIT0058?
A: You would need to fill out CIT0058 if you are looking for information about your Canadian citizenship status or if you need proof of your Canadian citizenship.

Q: What information do I need to provide on CIT0058?
A: You will need to provide your personal information, such as your full name, date of birth, and contact details, along with any relevant supporting documents.

Q: Can someone else submit CIT0058 on my behalf?
A: Yes, someone else can submit CIT0058 on your behalf, but they must have your written consent.

Q: What do I do after submitting CIT0058?
A: After submitting CIT0058, you should wait for a response from IRCC. If approved, you will receive the requested information or proof of citizenship.

Q: What should I do if I made a mistake on CIT0058?
A: If you made a mistake on CIT0058, you should contact IRCC as soon as possible to correct the error.

ADVERTISEMENT

Download Form CIT0058 Application for a Search of Citizenship Records - Canada

4.5 of 5 (31 votes)
  • Form CIT0058 Application for a Search of Citizenship Records - Canada

    1

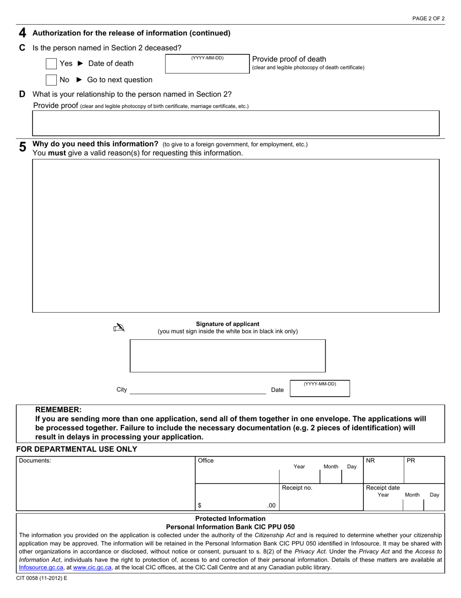
  • Form CIT0058 Application for a Search of Citizenship Records - Canada, Page 2

    2

  • Form CIT0058 Application for a Search of Citizenship Records - Canada, Page 1
  • Form CIT0058 Application for a Search of Citizenship Records - Canada, Page 2
Prev 1 2 Next
ADVERTISEMENT

Related Documents