Instructions for Form B2500E Summons to Debtor in Involuntary Case

Notification Icon This version of the form is not currently in use and is provided for reference only. Download this version of Instructions for Form B2500E for the current year.

Instructions for Form B2500E Summons to Debtor in Involuntary Case

This document contains official instructions for Form B2500E , Summons to Debtor in Involuntary Case - a form released and collected by the United States Bankruptcy Court. An up-to-date fillable Form B2500E is available for download through this link.

FAQ

Q: What is Form B2500E?
A: Form B2500E is a document used to issue a summons to a debtor in an involuntary case.

Q: What is an involuntary case?
A: An involuntary case is a legal action initiated by creditors against a debtor to recover unpaid debts.

Q: Why would a creditor use Form B2500E?
A: A creditor would use Form B2500E to officially notify the debtor of the legal action being taken against them.

Q: What information is required on Form B2500E?
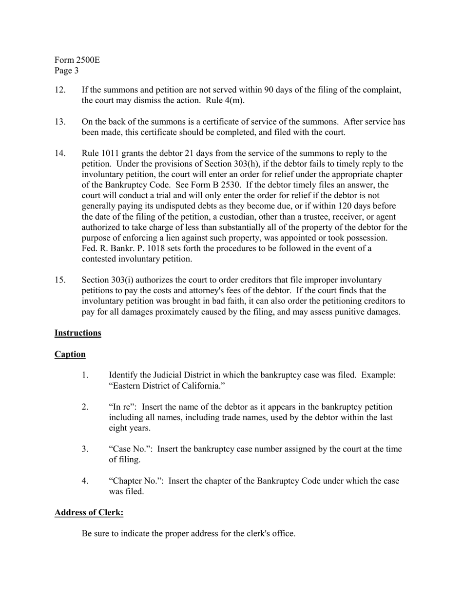
A: Form B2500E requires the creditor to provide details about the debtor, such as their name, address, and the amount owed.

Q: How is Form B2500E delivered to the debtor?
A: Form B2500E is usually delivered to the debtor by a process server or through certified mail.

Q: What should the debtor do after receiving Form B2500E?
A: The debtor should consult with an attorney and respond appropriately within the given timeframe to avoid further legal consequences.

Q: Can a debtor challenge the validity of Form B2500E?
A: Yes, a debtor can challenge the validity of Form B2500E by filing a response and presenting their case in court.

Q: What happens if the debtor fails to respond to Form B2500E?
A: If the debtor fails to respond to Form B2500E, the court may proceed with the involuntary case and potentially issue a judgment against the debtor.

ADVERTISEMENT

Instruction Details:

  • This 5-page document is available for download in PDF;
  • Actual and applicable for the current year;
  • Complete, printable, and free.

Download your copy of the instructions by clicking the link below or browse hundreds of other forms in our library of forms released by the United States Bankruptcy Court.

Download Instructions for Form B2500E Summons to Debtor in Involuntary Case

4.5 of 5 (11 votes)
  • Instructions for Form B2500E Summons to Debtor in Involuntary Case

    1

  • Instructions for Form B2500E Summons to Debtor in Involuntary Case, Page 2

    2

  • Instructions for Form B2500E Summons to Debtor in Involuntary Case, Page 3

    3

  • Instructions for Form B2500E Summons to Debtor in Involuntary Case, Page 4

    4

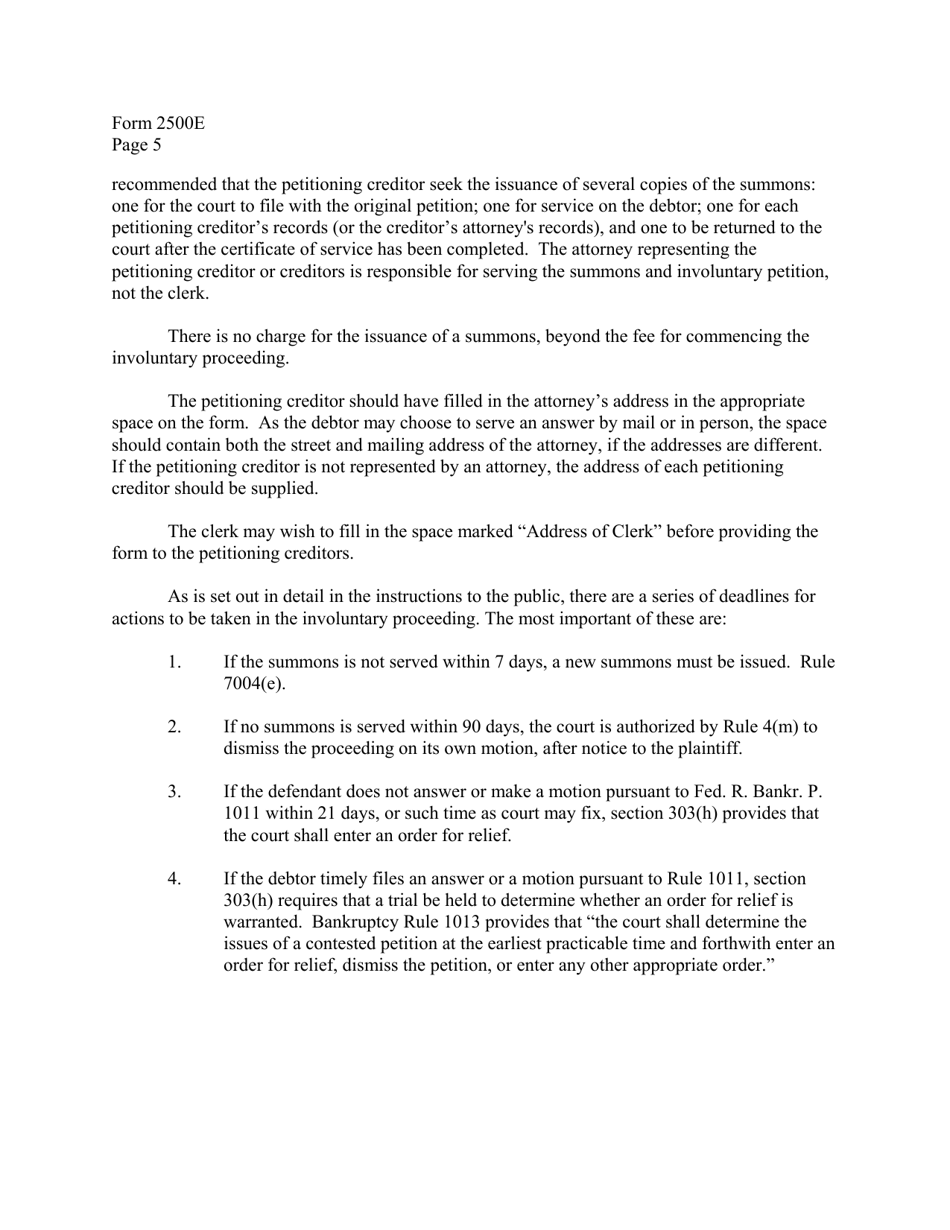
  • Instructions for Form B2500E Summons to Debtor in Involuntary Case, Page 5

    5

  • Instructions for Form B2500E Summons to Debtor in Involuntary Case, Page 1
  • Instructions for Form B2500E Summons to Debtor in Involuntary Case, Page 2
  • Instructions for Form B2500E Summons to Debtor in Involuntary Case, Page 3
  • Instructions for Form B2500E Summons to Debtor in Involuntary Case, Page 4
  • Instructions for Form B2500E Summons to Debtor in Involuntary Case, Page 5
Prev 1 2 3 4 5 Next
ADVERTISEMENT