Instructions for Form INV-V2, NHDES-A-01-007 Annual VOC Emission Statement Form - New Hampshire

Instructions for Form INV-V2, NHDES-A-01-007 Annual VOC Emission Statement Form - New Hampshire

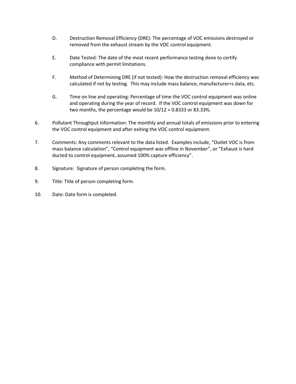
This document contains official instructions for Form INV-V2 , and Form NHDES-A-01-007 . Both forms are released and collected by the New Hampshire Department of Environmental Services. An up-to-date fillable Form INV-V2 is available for download through this link. The latest available Form INV-V2 (NHDES-A-01-007) can be downloaded through this link.

FAQ

Q: What is Form INV-V2?
A: Form INV-V2 is the Annual VOC Emission Statement form for New Hampshire.

Q: What is the purpose of Form INV-V2?
A: The purpose of Form INV-V2 is to report annual volatile organic compound (VOC) emissions in New Hampshire.

Q: Who needs to complete Form INV-V2?
A: Businesses in New Hampshire that emit volatile organic compounds (VOCs) are required to complete Form INV-V2.

Q: What information is required on Form INV-V2?
A: Form INV-V2 requires businesses to provide information about their VOC emissions, including the types and quantities of VOCs emitted and control measures implemented.

Q: When is Form INV-V2 due?
A: Form INV-V2 is due on March 1st of each year for the previous calendar year.

Q: Are there any penalties for not filing Form INV-V2?
A: Yes, businesses that fail to file Form INV-V2 or provide false information may be subject to penalties and enforcement actions by NHDES.

Q: Is there any fee associated with filing Form INV-V2?
A: No, there is no fee associated with filing Form INV-V2.

ADVERTISEMENT

Instruction Details:

  • This 2-page document is available for download in PDF;
  • Actual and applicable for the current year;
  • Complete, printable, and free.

Download your copy of the instructions by clicking the link below or browse hundreds of other forms in our library of forms released by the New Hampshire Department of Environmental Services.

Download Instructions for Form INV-V2, NHDES-A-01-007 Annual VOC Emission Statement Form - New Hampshire

4.8 of 5 (39 votes)
  • Instructions for Form INV-V2, NHDES-A-01-007 Annual VOC Emission Statement Form - New Hampshire

    1

  • Instructions for Form INV-V2, NHDES-A-01-007 Annual VOC Emission Statement Form - New Hampshire, Page 2

    2

  • Instructions for Form INV-V2, NHDES-A-01-007 Annual VOC Emission Statement Form - New Hampshire, Page 1
  • Instructions for Form INV-V2, NHDES-A-01-007 Annual VOC Emission Statement Form - New Hampshire, Page 2
Prev 1 2 Next
ADVERTISEMENT