Instructions for Form INV-V1, NHDES-A-01-008 Annual VOC Emissions Statement Form - New Hampshire

Instructions for Form INV-V1, NHDES-A-01-008 Annual VOC Emissions Statement Form - New Hampshire

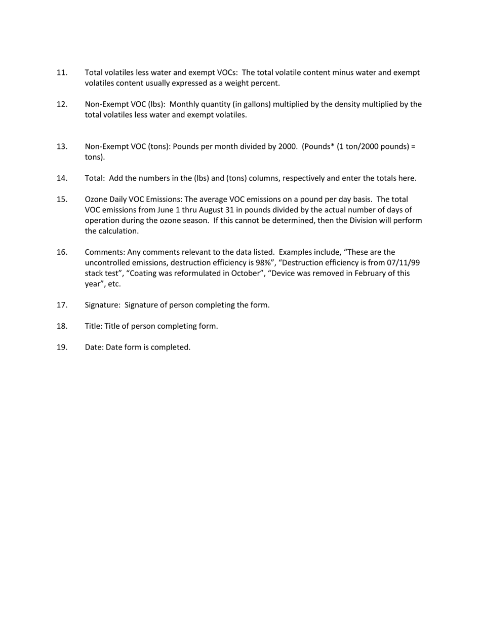
This document contains official instructions for Form INV-V1 , and Form NHDES-A-01-008 . Both forms are released and collected by the New Hampshire Department of Environmental Services. An up-to-date fillable Form INV-V1 is available for download through this link. The latest available Form INV-V1 (NHDES-A-01-008) can be downloaded through this link.

FAQ

Q: What is Form INV-V1?
A: Form INV-V1 is the Annual VOC Emissions Statement Form in New Hampshire.

Q: What is the purpose of Form INV-V1?
A: The purpose of Form INV-V1 is to report annual VOC (volatile organic compound) emissions in New Hampshire.

Q: Who needs to fill out Form INV-V1?
A: Companies and facilities in New Hampshire that emit VOCs are required to fill out Form INV-V1.

Q: What information is required on Form INV-V1?
A: Form INV-V1 requires information about the facility, including emissions from various sources and control devices.

Q: Are there any deadlines for submitting Form INV-V1?
A: Yes, the deadline for submitting Form INV-V1 is specified on the form itself.

Q: Are there any penalties for not submitting Form INV-V1?
A: Yes, failure to submit Form INV-V1 or providing false information may result in penalties and enforcement actions.

Q: Who should I contact for more information or assistance with Form INV-V1?
A: For more information or assistance with Form INV-V1, you can contact the New Hampshire Department of Environmental Services (NHDES).

ADVERTISEMENT

Instruction Details:

  • This 2-page document is available for download in PDF;
  • Actual and applicable for the current year;
  • Complete, printable, and free.

Download your copy of the instructions by clicking the link below or browse hundreds of other forms in our library of forms released by the New Hampshire Department of Environmental Services.

Download Instructions for Form INV-V1, NHDES-A-01-008 Annual VOC Emissions Statement Form - New Hampshire

4.3 of 5 (57 votes)
  • Instructions for Form INV-V1, NHDES-A-01-008 Annual VOC Emissions Statement Form - New Hampshire

    1

  • Instructions for Form INV-V1, NHDES-A-01-008 Annual VOC Emissions Statement Form - New Hampshire, Page 2

    2

  • Instructions for Form INV-V1, NHDES-A-01-008 Annual VOC Emissions Statement Form - New Hampshire, Page 1
  • Instructions for Form INV-V1, NHDES-A-01-008 Annual VOC Emissions Statement Form - New Hampshire, Page 2
Prev 1 2 Next
ADVERTISEMENT