Form NHJB-2826-D Petition and Certificate for Involuntary Emergency Admission (Iea) - New Hampshire

Notification Icon This version of the form is not currently in use and is provided for reference only. Download this version of Form NHJB-2826-D for the current year.

Form NHJB-2826-D Petition and Certificate for Involuntary Emergency Admission (Iea) - New Hampshire

What Is Form NHJB-2826-D?

This is a legal form that was released by the New Hampshire Judicial Branch - a government authority operating within New Hampshire. As of today, no separate filing guidelines for the form are provided by the issuing department.

FAQ

Q: What is Form NHJB-2826-D?
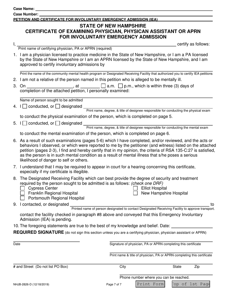
A: Form NHJB-2826-D is the Petition and Certificate for Involuntary Emergency Admission (IEA) in the state of New Hampshire.

Q: What is the purpose of Form NHJB-2826-D?
A: The purpose of Form NHJB-2826-D is to initiate the process of involuntary emergency admission for an individual who is believed to be a danger to themselves or others due to mental illness.

Q: Who can file Form NHJB-2826-D?
A: Form NHJB-2826-D can be filed by a designated mental health professional or a law enforcement officer.

Q: What information is required in Form NHJB-2826-D?
A: Form NHJB-2826-D requires information about the person being petitioned, including their name, address, mental health history, and the specific reasons for the emergency admission.

Q: What happens after Form NHJB-2826-D is filed?
A: After Form NHJB-2826-D is filed, a hearing will be scheduled to determine whether the individual meets the criteria for involuntary emergency admission.

ADVERTISEMENT

Form Details:

  • Released on December 18, 2019;
  • The latest edition provided by the New Hampshire Judicial Branch;
  • Easy to use and ready to print;
  • Quick to customize;
  • Compatible with most PDF-viewing applications;
  • Fill out the form in our online filing application.

Download a fillable version of Form NHJB-2826-D by clicking the link below or browse more documents and templates provided by the New Hampshire Judicial Branch.

Download Form NHJB-2826-D Petition and Certificate for Involuntary Emergency Admission (Iea) - New Hampshire

4.7 of 5 (18 votes)
  • Form NHJB-2826-D Petition and Certificate for Involuntary Emergency Admission (Iea) - New Hampshire

    1

  • Form NHJB-2826-D Petition and Certificate for Involuntary Emergency Admission (Iea) - New Hampshire, Page 2

    2

  • Form NHJB-2826-D Petition and Certificate for Involuntary Emergency Admission (Iea) - New Hampshire, Page 3

    3

  • Form NHJB-2826-D Petition and Certificate for Involuntary Emergency Admission (Iea) - New Hampshire, Page 4

    4

  • Form NHJB-2826-D Petition and Certificate for Involuntary Emergency Admission (Iea) - New Hampshire, Page 5

    5

  • Form NHJB-2826-D Petition and Certificate for Involuntary Emergency Admission (Iea) - New Hampshire, Page 6

    6

  • Form NHJB-2826-D Petition and Certificate for Involuntary Emergency Admission (Iea) - New Hampshire, Page 7

    7

  • Form NHJB-2826-D Petition and Certificate for Involuntary Emergency Admission (Iea) - New Hampshire, Page 1
  • Form NHJB-2826-D Petition and Certificate for Involuntary Emergency Admission (Iea) - New Hampshire, Page 2
  • Form NHJB-2826-D Petition and Certificate for Involuntary Emergency Admission (Iea) - New Hampshire, Page 3
  • Form NHJB-2826-D Petition and Certificate for Involuntary Emergency Admission (Iea) - New Hampshire, Page 4
  • Form NHJB-2826-D Petition and Certificate for Involuntary Emergency Admission (Iea) - New Hampshire, Page 5
  • Form NHJB-2826-D Petition and Certificate for Involuntary Emergency Admission (Iea) - New Hampshire, Page 6
  • Form NHJB-2826-D Petition and Certificate for Involuntary Emergency Admission (Iea) - New Hampshire, Page 7
Prev 1 2 3 4 5 ... 7 Next
ADVERTISEMENT