Form IMM5009 Verification of Status (Vos) or Replacement of an Immigration Document - Canada

Notification Icon This version of the form is not currently in use and is provided for reference only. Download this version of Form IMM5009 for the current year.

Notification Icon To edit this document, please download and fill it out with Adobe Reader.

Form IMM5009 Verification of Status (Vos) or Replacement of an Immigration Document - Canada

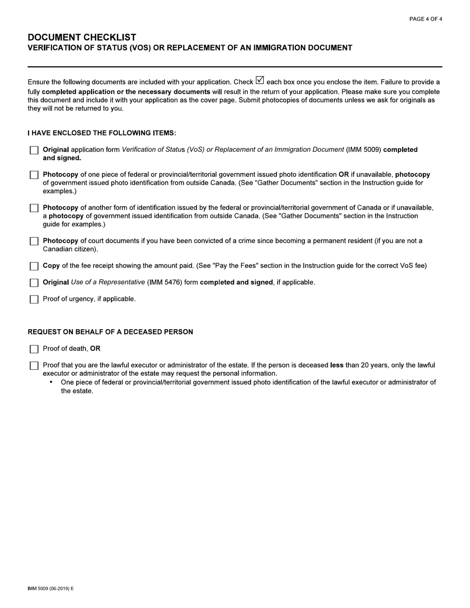
Form IMM5009 Verification of Status (Vos) or Replacement of an Immigration Document in Canada is used to verify an individual's immigration status or to replace a lost, stolen, or damaged immigration document. It is primarily used by individuals who need to prove their immigration status or replace their immigration documents.

The Form IMM5009 Verification of Status (Vos) or Replacement of an Immigration Document is typically filed by individuals who need to verify their immigration status or replace a lost or damaged immigration document in Canada.

FAQ

Q: What is the Form IMM5009?
A: Form IMM5009 is the Verification of Status (Vos) or Replacement of an Immigration Document form in Canada.

Q: What is the purpose of Form IMM5009?
A: The purpose of Form IMM5009 is to request a Verification of Status or Replacement of an Immigration Document in Canada.

Q: What documents do I need to submit with Form IMM5009?
A: The specific documents required may vary depending on your situation, but typical supporting documents include a copy of your passport, proof of payment, and any relevant immigration documents.

Q: What should I do if I make a mistake on Form IMM5009?
A: If you make a mistake on Form IMM5009, it is recommended to contact the IRCC's helpline or consult the form's instructions for guidance on how to rectify the error.

ADVERTISEMENT

Download Form IMM5009 Verification of Status (Vos) or Replacement of an Immigration Document - Canada

4.3 of 5 (29 votes)
  • Form IMM5009 Verification of Status (Vos) or Replacement of an Immigration Document - Canada

    1

  • Form IMM5009 Verification of Status (Vos) or Replacement of an Immigration Document - Canada, Page 2

    2

  • Form IMM5009 Verification of Status (Vos) or Replacement of an Immigration Document - Canada, Page 3

    3

  • Form IMM5009 Verification of Status (Vos) or Replacement of an Immigration Document - Canada, Page 4

    4

  • Form IMM5009 Verification of Status (Vos) or Replacement of an Immigration Document - Canada, Page 1
  • Form IMM5009 Verification of Status (Vos) or Replacement of an Immigration Document - Canada, Page 2
  • Form IMM5009 Verification of Status (Vos) or Replacement of an Immigration Document - Canada, Page 3
  • Form IMM5009 Verification of Status (Vos) or Replacement of an Immigration Document - Canada, Page 4
Prev 1 2 3 4 Next
ADVERTISEMENT