M-15-14 - Memorandum for Heads of Executive Departments and Agencies (Management and Oversight of Federal Information Technology)

M-15-14 - Memorandum for Heads of Executive Departments and Agencies (Management and Oversight of Federal Information Technology)

M-15-14 - Memorandum for Heads of Executive Departments and Agencies (Management and Oversight of Federal Information Technology) is a 34-page legal document that was released by the U.S. Office of Management and Budget on June 10, 2015 and used nation-wide.

FAQ

Q: What is the purpose of M-15-14 memorandum?
A: The purpose of M-15-14 memorandum is to establish policies and guidelines for the management and oversight of federal information technology.

Q: Who does the memorandum apply to?
A: The memorandum applies to heads of executive departments and agencies.

Q: What does M-15-14 address?
A: M-15-14 addresses the management and oversight of federal information technology.

Q: What are some key provisions of M-15-14?
A: Some key provisions of M-15-14 include promoting shared services, improving cybersecurity, and enhancing IT acquisition and governance.

Q: What is the goal of M-15-14?
A: The goal of M-15-14 is to improve the effectiveness and efficiency of federal IT investments and operations.

ADVERTISEMENT

Form Details:

  • The latest edition currently provided by the U.S. Office of Management and Budget;
  • Ready to use and print;
  • Easy to customize;
  • Compatible with most PDF-viewing applications;
  • Fill out the form in our online filing application.

Download a printable version of the form by clicking the link below or browse more legal forms and templates provided by the issuing department.

Download M-15-14 - Memorandum for Heads of Executive Departments and Agencies (Management and Oversight of Federal Information Technology)

4.8 of 5 (6 votes)
  • M-15-14 - Memorandum for Heads of Executive Departments and Agencies (Management and Oversight of Federal Information Technology)

    1

  • M-15-14 - Memorandum for Heads of Executive Departments and Agencies (Management and Oversight of Federal Information Technology), Page 2

    2

  • M-15-14 - Memorandum for Heads of Executive Departments and Agencies (Management and Oversight of Federal Information Technology), Page 3

    3

  • M-15-14 - Memorandum for Heads of Executive Departments and Agencies (Management and Oversight of Federal Information Technology), Page 4

    4

  • M-15-14 - Memorandum for Heads of Executive Departments and Agencies (Management and Oversight of Federal Information Technology), Page 5

    5

  • M-15-14 - Memorandum for Heads of Executive Departments and Agencies (Management and Oversight of Federal Information Technology), Page 6

    6

  • M-15-14 - Memorandum for Heads of Executive Departments and Agencies (Management and Oversight of Federal Information Technology), Page 7

    7

  • M-15-14 - Memorandum for Heads of Executive Departments and Agencies (Management and Oversight of Federal Information Technology), Page 8

    8

  • M-15-14 - Memorandum for Heads of Executive Departments and Agencies (Management and Oversight of Federal Information Technology), Page 9

    9

  • M-15-14 - Memorandum for Heads of Executive Departments and Agencies (Management and Oversight of Federal Information Technology), Page 10

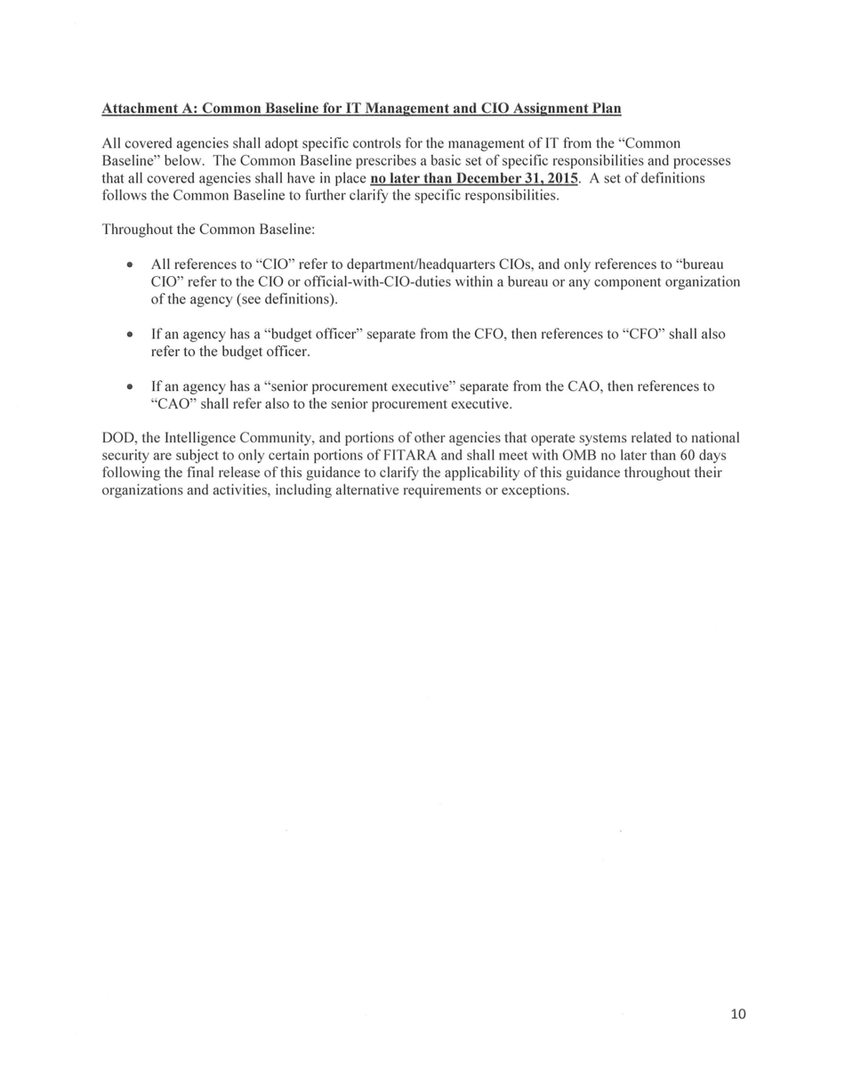
    10

  • M-15-14 - Memorandum for Heads of Executive Departments and Agencies (Management and Oversight of Federal Information Technology), Page 11

    11

  • M-15-14 - Memorandum for Heads of Executive Departments and Agencies (Management and Oversight of Federal Information Technology), Page 12

    12

  • M-15-14 - Memorandum for Heads of Executive Departments and Agencies (Management and Oversight of Federal Information Technology), Page 13

    13

  • M-15-14 - Memorandum for Heads of Executive Departments and Agencies (Management and Oversight of Federal Information Technology), Page 14

    14

  • M-15-14 - Memorandum for Heads of Executive Departments and Agencies (Management and Oversight of Federal Information Technology), Page 15

    15

  • M-15-14 - Memorandum for Heads of Executive Departments and Agencies (Management and Oversight of Federal Information Technology), Page 16

    16

  • M-15-14 - Memorandum for Heads of Executive Departments and Agencies (Management and Oversight of Federal Information Technology), Page 17

    17

  • M-15-14 - Memorandum for Heads of Executive Departments and Agencies (Management and Oversight of Federal Information Technology), Page 18

    18

  • M-15-14 - Memorandum for Heads of Executive Departments and Agencies (Management and Oversight of Federal Information Technology), Page 19

    19

  • M-15-14 - Memorandum for Heads of Executive Departments and Agencies (Management and Oversight of Federal Information Technology), Page 20

    20

  • M-15-14 - Memorandum for Heads of Executive Departments and Agencies (Management and Oversight of Federal Information Technology), Page 21

    21

  • M-15-14 - Memorandum for Heads of Executive Departments and Agencies (Management and Oversight of Federal Information Technology), Page 22

    22

  • M-15-14 - Memorandum for Heads of Executive Departments and Agencies (Management and Oversight of Federal Information Technology), Page 23

    23

  • M-15-14 - Memorandum for Heads of Executive Departments and Agencies (Management and Oversight of Federal Information Technology), Page 24

    24

  • M-15-14 - Memorandum for Heads of Executive Departments and Agencies (Management and Oversight of Federal Information Technology), Page 25

    25

  • M-15-14 - Memorandum for Heads of Executive Departments and Agencies (Management and Oversight of Federal Information Technology), Page 26

    26

  • M-15-14 - Memorandum for Heads of Executive Departments and Agencies (Management and Oversight of Federal Information Technology), Page 27

    27

  • M-15-14 - Memorandum for Heads of Executive Departments and Agencies (Management and Oversight of Federal Information Technology), Page 28

    28

  • M-15-14 - Memorandum for Heads of Executive Departments and Agencies (Management and Oversight of Federal Information Technology), Page 29

    29

  • M-15-14 - Memorandum for Heads of Executive Departments and Agencies (Management and Oversight of Federal Information Technology), Page 30

    30

  • M-15-14 - Memorandum for Heads of Executive Departments and Agencies (Management and Oversight of Federal Information Technology), Page 31

    31

  • M-15-14 - Memorandum for Heads of Executive Departments and Agencies (Management and Oversight of Federal Information Technology), Page 32

    32

  • M-15-14 - Memorandum for Heads of Executive Departments and Agencies (Management and Oversight of Federal Information Technology), Page 33

    33

  • M-15-14 - Memorandum for Heads of Executive Departments and Agencies (Management and Oversight of Federal Information Technology), Page 34

    34

  • M-15-14 - Memorandum for Heads of Executive Departments and Agencies (Management and Oversight of Federal Information Technology), Page 1
  • M-15-14 - Memorandum for Heads of Executive Departments and Agencies (Management and Oversight of Federal Information Technology), Page 2
  • M-15-14 - Memorandum for Heads of Executive Departments and Agencies (Management and Oversight of Federal Information Technology), Page 3
  • M-15-14 - Memorandum for Heads of Executive Departments and Agencies (Management and Oversight of Federal Information Technology), Page 4
  • M-15-14 - Memorandum for Heads of Executive Departments and Agencies (Management and Oversight of Federal Information Technology), Page 5
  • M-15-14 - Memorandum for Heads of Executive Departments and Agencies (Management and Oversight of Federal Information Technology), Page 6
  • M-15-14 - Memorandum for Heads of Executive Departments and Agencies (Management and Oversight of Federal Information Technology), Page 7
  • M-15-14 - Memorandum for Heads of Executive Departments and Agencies (Management and Oversight of Federal Information Technology), Page 8
  • M-15-14 - Memorandum for Heads of Executive Departments and Agencies (Management and Oversight of Federal Information Technology), Page 9
  • M-15-14 - Memorandum for Heads of Executive Departments and Agencies (Management and Oversight of Federal Information Technology), Page 10
  • M-15-14 - Memorandum for Heads of Executive Departments and Agencies (Management and Oversight of Federal Information Technology), Page 11
  • M-15-14 - Memorandum for Heads of Executive Departments and Agencies (Management and Oversight of Federal Information Technology), Page 12
  • M-15-14 - Memorandum for Heads of Executive Departments and Agencies (Management and Oversight of Federal Information Technology), Page 13
  • M-15-14 - Memorandum for Heads of Executive Departments and Agencies (Management and Oversight of Federal Information Technology), Page 14
  • M-15-14 - Memorandum for Heads of Executive Departments and Agencies (Management and Oversight of Federal Information Technology), Page 15
  • M-15-14 - Memorandum for Heads of Executive Departments and Agencies (Management and Oversight of Federal Information Technology), Page 16
  • M-15-14 - Memorandum for Heads of Executive Departments and Agencies (Management and Oversight of Federal Information Technology), Page 17
  • M-15-14 - Memorandum for Heads of Executive Departments and Agencies (Management and Oversight of Federal Information Technology), Page 18
  • M-15-14 - Memorandum for Heads of Executive Departments and Agencies (Management and Oversight of Federal Information Technology), Page 19
  • M-15-14 - Memorandum for Heads of Executive Departments and Agencies (Management and Oversight of Federal Information Technology), Page 20
  • M-15-14 - Memorandum for Heads of Executive Departments and Agencies (Management and Oversight of Federal Information Technology), Page 21
  • M-15-14 - Memorandum for Heads of Executive Departments and Agencies (Management and Oversight of Federal Information Technology), Page 22
  • M-15-14 - Memorandum for Heads of Executive Departments and Agencies (Management and Oversight of Federal Information Technology), Page 23
  • M-15-14 - Memorandum for Heads of Executive Departments and Agencies (Management and Oversight of Federal Information Technology), Page 24
  • M-15-14 - Memorandum for Heads of Executive Departments and Agencies (Management and Oversight of Federal Information Technology), Page 25
  • M-15-14 - Memorandum for Heads of Executive Departments and Agencies (Management and Oversight of Federal Information Technology), Page 26
  • M-15-14 - Memorandum for Heads of Executive Departments and Agencies (Management and Oversight of Federal Information Technology), Page 27
  • M-15-14 - Memorandum for Heads of Executive Departments and Agencies (Management and Oversight of Federal Information Technology), Page 28
  • M-15-14 - Memorandum for Heads of Executive Departments and Agencies (Management and Oversight of Federal Information Technology), Page 29
  • M-15-14 - Memorandum for Heads of Executive Departments and Agencies (Management and Oversight of Federal Information Technology), Page 30
  • M-15-14 - Memorandum for Heads of Executive Departments and Agencies (Management and Oversight of Federal Information Technology), Page 31
  • M-15-14 - Memorandum for Heads of Executive Departments and Agencies (Management and Oversight of Federal Information Technology), Page 32
  • M-15-14 - Memorandum for Heads of Executive Departments and Agencies (Management and Oversight of Federal Information Technology), Page 33
  • M-15-14 - Memorandum for Heads of Executive Departments and Agencies (Management and Oversight of Federal Information Technology), Page 34
Prev 1 2 3 4 5 ... 34 Next
ADVERTISEMENT