Application and Program Guidance - Nurse Corps Loan Repayment Program

Application and Program Guidance - Nurse Corps Loan Repayment Program

Application and Program Guidance - Nurse Corps Loan Repayment Program is a 37-page legal document that was released by the U.S. Department of Health and Human Services - Health Resources and Services Administration on January 1, 2016 and used nation-wide.

FAQ

Q: What is the Nurse Corps Loan Repayment Program?
A: The Nurse Corps Loan Repayment Program (NCLR) is a federal program that helps registered nurses repay a portion of their student loans in exchange for a commitment to work in underserved areas.

Q: Who is eligible for the Nurse Corps Loan Repayment Program?
A: Eligible applicants for the Nurse Corps Loan Repayment Program are registered nurses (RNs), advanced practice registered nurses (APRNs), and nurse faculty.

Q: What are the requirements for the Nurse Corps Loan Repayment Program?
A: Applicants must be U.S. citizens or nationals, have a current, full, permanent, unrestricted RN license, work full-time in an eligible critical shortage facility or accredited nursing school, and have outstanding qualifying educational loans.

Q: How much loan repayment can I receive through the Nurse Corps Loan Repayment Program?
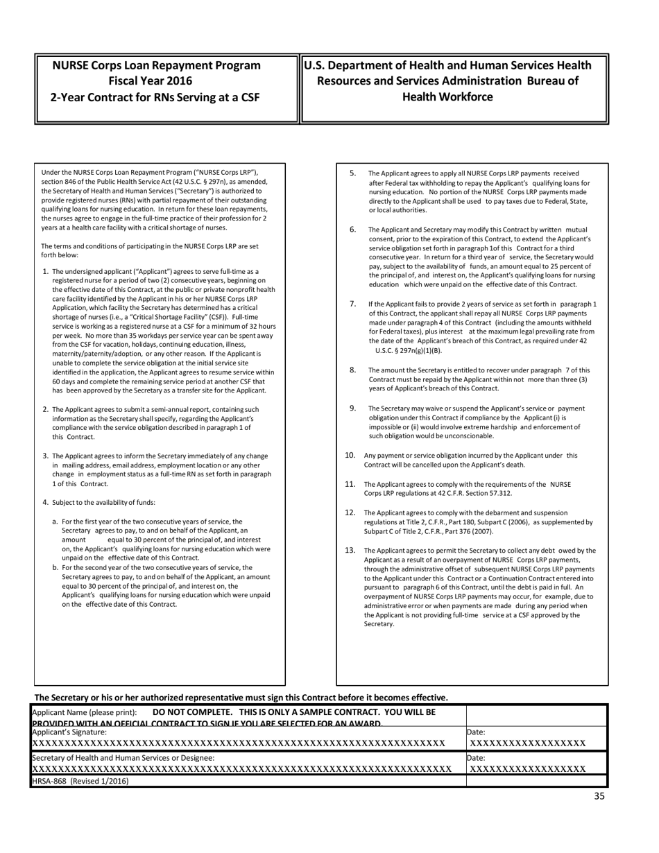
A: Participants in the Nurse Corps Loan Repayment Program can receive up to 60% of their unpaid qualifying educational loans in exchange for a two-year commitment to work in an underserved area.

Q: How long is the service commitment for the Nurse Corps Loan Repayment Program?
A: Participants in the Nurse Corps Loan Repayment Program must commit to work full-time for at least two years at an eligible facility or accredited nursing school in an underserved area.

Q: Can I apply for the Nurse Corps Loan Repayment Program if I am already working full-time at an eligible facility?
A: Yes, as long as you meet all other eligibility criteria, you can apply for the Nurse Corps Loan Repayment Program even if you are already working full-time at an eligible facility.

Q: Are there any other requirements or obligations associated with the Nurse Corps Loan Repayment Program?
A: Participants in the Nurse Corps Loan Repayment Program are required to fulfill their service commitment, provide updates on changes in employment status, and maintain compliance with all program requirements.

ADVERTISEMENT

Form Details:

  • The latest edition currently provided by the U.S. Department of Health and Human Services - Health Resources and Services Administration;
  • Ready to use and print;
  • Easy to customize;
  • Compatible with most PDF-viewing applications;
  • Fill out the form in our online filing application.

Download a printable version of the form by clicking the link below or browse more legal forms and templates provided by the issuing department.

Download Application and Program Guidance - Nurse Corps Loan Repayment Program

4.8 of 5 (13 votes)
  • Application and Program Guidance - Nurse Corps Loan Repayment Program

    1

  • Application and Program Guidance - Nurse Corps Loan Repayment Program, Page 2

    2

  • Application and Program Guidance - Nurse Corps Loan Repayment Program, Page 3

    3

  • Application and Program Guidance - Nurse Corps Loan Repayment Program, Page 4

    4

  • Application and Program Guidance - Nurse Corps Loan Repayment Program, Page 5

    5

  • Application and Program Guidance - Nurse Corps Loan Repayment Program, Page 6

    6

  • Application and Program Guidance - Nurse Corps Loan Repayment Program, Page 7

    7

  • Application and Program Guidance - Nurse Corps Loan Repayment Program, Page 8

    8

  • Application and Program Guidance - Nurse Corps Loan Repayment Program, Page 9

    9

  • Application and Program Guidance - Nurse Corps Loan Repayment Program, Page 10

    10

  • Application and Program Guidance - Nurse Corps Loan Repayment Program, Page 11

    11

  • Application and Program Guidance - Nurse Corps Loan Repayment Program, Page 12

    12

  • Application and Program Guidance - Nurse Corps Loan Repayment Program, Page 13

    13

  • Application and Program Guidance - Nurse Corps Loan Repayment Program, Page 14

    14

  • Application and Program Guidance - Nurse Corps Loan Repayment Program, Page 15

    15

  • Application and Program Guidance - Nurse Corps Loan Repayment Program, Page 16

    16

  • Application and Program Guidance - Nurse Corps Loan Repayment Program, Page 17

    17

  • Application and Program Guidance - Nurse Corps Loan Repayment Program, Page 18

    18

  • Application and Program Guidance - Nurse Corps Loan Repayment Program, Page 19

    19

  • Application and Program Guidance - Nurse Corps Loan Repayment Program, Page 20

    20

  • Application and Program Guidance - Nurse Corps Loan Repayment Program, Page 21

    21

  • Application and Program Guidance - Nurse Corps Loan Repayment Program, Page 22

    22

  • Application and Program Guidance - Nurse Corps Loan Repayment Program, Page 23

    23

  • Application and Program Guidance - Nurse Corps Loan Repayment Program, Page 24

    24

  • Application and Program Guidance - Nurse Corps Loan Repayment Program, Page 25

    25

  • Application and Program Guidance - Nurse Corps Loan Repayment Program, Page 26

    26

  • Application and Program Guidance - Nurse Corps Loan Repayment Program, Page 27

    27

  • Application and Program Guidance - Nurse Corps Loan Repayment Program, Page 28

    28

  • Application and Program Guidance - Nurse Corps Loan Repayment Program, Page 29

    29

  • Application and Program Guidance - Nurse Corps Loan Repayment Program, Page 30

    30

  • Application and Program Guidance - Nurse Corps Loan Repayment Program, Page 31

    31

  • Application and Program Guidance - Nurse Corps Loan Repayment Program, Page 32

    32

  • Application and Program Guidance - Nurse Corps Loan Repayment Program, Page 33

    33

  • Application and Program Guidance - Nurse Corps Loan Repayment Program, Page 34

    34

  • Application and Program Guidance - Nurse Corps Loan Repayment Program, Page 35

    35

  • Application and Program Guidance - Nurse Corps Loan Repayment Program, Page 36

    36

  • Application and Program Guidance - Nurse Corps Loan Repayment Program, Page 37

    37

  • Application and Program Guidance - Nurse Corps Loan Repayment Program, Page 1
  • Application and Program Guidance - Nurse Corps Loan Repayment Program, Page 2
  • Application and Program Guidance - Nurse Corps Loan Repayment Program, Page 3
  • Application and Program Guidance - Nurse Corps Loan Repayment Program, Page 4
  • Application and Program Guidance - Nurse Corps Loan Repayment Program, Page 5
  • Application and Program Guidance - Nurse Corps Loan Repayment Program, Page 6
  • Application and Program Guidance - Nurse Corps Loan Repayment Program, Page 7
  • Application and Program Guidance - Nurse Corps Loan Repayment Program, Page 8
  • Application and Program Guidance - Nurse Corps Loan Repayment Program, Page 9
  • Application and Program Guidance - Nurse Corps Loan Repayment Program, Page 10
  • Application and Program Guidance - Nurse Corps Loan Repayment Program, Page 11
  • Application and Program Guidance - Nurse Corps Loan Repayment Program, Page 12
  • Application and Program Guidance - Nurse Corps Loan Repayment Program, Page 13
  • Application and Program Guidance - Nurse Corps Loan Repayment Program, Page 14
  • Application and Program Guidance - Nurse Corps Loan Repayment Program, Page 15
  • Application and Program Guidance - Nurse Corps Loan Repayment Program, Page 16
  • Application and Program Guidance - Nurse Corps Loan Repayment Program, Page 17
  • Application and Program Guidance - Nurse Corps Loan Repayment Program, Page 18
  • Application and Program Guidance - Nurse Corps Loan Repayment Program, Page 19
  • Application and Program Guidance - Nurse Corps Loan Repayment Program, Page 20
  • Application and Program Guidance - Nurse Corps Loan Repayment Program, Page 21
  • Application and Program Guidance - Nurse Corps Loan Repayment Program, Page 22
  • Application and Program Guidance - Nurse Corps Loan Repayment Program, Page 23
  • Application and Program Guidance - Nurse Corps Loan Repayment Program, Page 24
  • Application and Program Guidance - Nurse Corps Loan Repayment Program, Page 25
  • Application and Program Guidance - Nurse Corps Loan Repayment Program, Page 26
  • Application and Program Guidance - Nurse Corps Loan Repayment Program, Page 27
  • Application and Program Guidance - Nurse Corps Loan Repayment Program, Page 28
  • Application and Program Guidance - Nurse Corps Loan Repayment Program, Page 29
  • Application and Program Guidance - Nurse Corps Loan Repayment Program, Page 30
  • Application and Program Guidance - Nurse Corps Loan Repayment Program, Page 31
  • Application and Program Guidance - Nurse Corps Loan Repayment Program, Page 32
  • Application and Program Guidance - Nurse Corps Loan Repayment Program, Page 33
  • Application and Program Guidance - Nurse Corps Loan Repayment Program, Page 34
  • Application and Program Guidance - Nurse Corps Loan Repayment Program, Page 35
  • Application and Program Guidance - Nurse Corps Loan Repayment Program, Page 36
  • Application and Program Guidance - Nurse Corps Loan Repayment Program, Page 37
Prev 1 2 3 4 5 ... 37 Next
ADVERTISEMENT

Related Documents