Form HUD92456 Semi-annual Performance Report Multifamily Housing Service Coordinator Program

Form HUD92456 Semi-annual Performance Report Multifamily Housing Service Coordinator Program

What Is Form HUD92456?

This is a legal form that was released by the U.S. Department of Housing and Urban Development on February 1, 2014 and used country-wide. As of today, no separate filing guidelines for the form are provided by the issuing department.

FAQ

Q: What is the Form HUD92456?
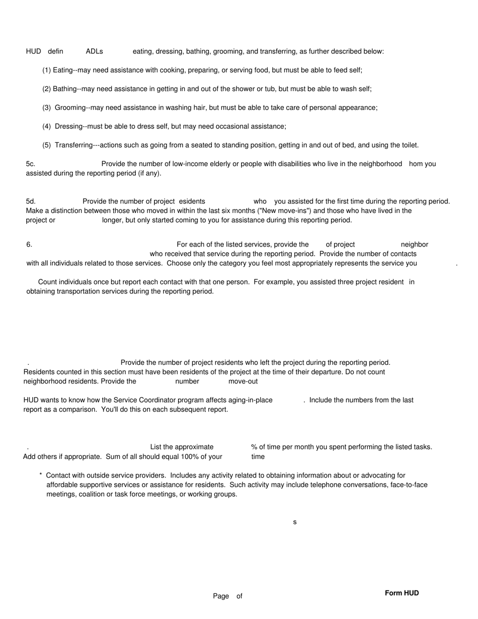
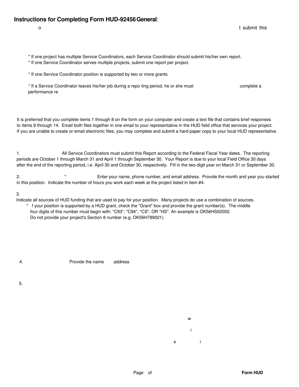
A: Form HUD92456 is the Semi-annual Performance Report for the Multifamily Housing Service Coordinator Program.

Q: What is the Multifamily Housing Service Coordinator Program?
A: The Multifamily Housing Service Coordinator Program provides funding for service coordinators who assist residents in multifamily housing communities with accessing supportive services.

Q: What is the purpose of the Form HUD92456?
A: The purpose of the Form HUD92456 is to report on the performance of the Multifamily Housing Service Coordinator Program.

Q: Who is required to submit the Form HUD92456?
A: Program participants, such as housing agencies or organizations, are required to submit the Form HUD92456.

Q: How often is the Form HUD92456 submitted?
A: The Form HUD92456 is submitted semi-annually.

Q: What information is included in the Form HUD92456?
A: The Form HUD92456 includes information on program activities, number of residents served, coordination efforts, and outcomes achieved.

ADVERTISEMENT

Form Details:

  • Released on February 1, 2014;
  • The latest available edition released by the U.S. Department of Housing and Urban Development;
  • Easy to use and ready to print;
  • Yours to fill out and keep for your records;
  • Compatible with most PDF-viewing applications;
  • Fill out the form in our online filing application.

Download a fillable version of Form HUD92456 by clicking the link below or browse more documents and templates provided by the U.S. Department of Housing and Urban Development.

Download Form HUD92456 Semi-annual Performance Report Multifamily Housing Service Coordinator Program

4.3 of 5 (6 votes)
  • Form HUD92456 Semi-annual Performance Report Multifamily Housing Service Coordinator Program

    1

  • Form HUD92456 Semi-annual Performance Report Multifamily Housing Service Coordinator Program, Page 2

    2

  • Form HUD92456 Semi-annual Performance Report Multifamily Housing Service Coordinator Program, Page 3

    3

  • Form HUD92456 Semi-annual Performance Report Multifamily Housing Service Coordinator Program, Page 4

    4

  • Form HUD92456 Semi-annual Performance Report Multifamily Housing Service Coordinator Program, Page 5

    5

  • Form HUD92456 Semi-annual Performance Report Multifamily Housing Service Coordinator Program, Page 6

    6

  • Form HUD92456 Semi-annual Performance Report Multifamily Housing Service Coordinator Program, Page 7

    7

  • Form HUD92456 Semi-annual Performance Report Multifamily Housing Service Coordinator Program, Page 8

    8

  • Form HUD92456 Semi-annual Performance Report Multifamily Housing Service Coordinator Program, Page 9

    9

  • Form HUD92456 Semi-annual Performance Report Multifamily Housing Service Coordinator Program, Page 10

    10

  • Form HUD92456 Semi-annual Performance Report Multifamily Housing Service Coordinator Program, Page 1
  • Form HUD92456 Semi-annual Performance Report Multifamily Housing Service Coordinator Program, Page 2
  • Form HUD92456 Semi-annual Performance Report Multifamily Housing Service Coordinator Program, Page 3
  • Form HUD92456 Semi-annual Performance Report Multifamily Housing Service Coordinator Program, Page 4
  • Form HUD92456 Semi-annual Performance Report Multifamily Housing Service Coordinator Program, Page 5
  • Form HUD92456 Semi-annual Performance Report Multifamily Housing Service Coordinator Program, Page 6
  • Form HUD92456 Semi-annual Performance Report Multifamily Housing Service Coordinator Program, Page 7
  • Form HUD92456 Semi-annual Performance Report Multifamily Housing Service Coordinator Program, Page 8
  • Form HUD92456 Semi-annual Performance Report Multifamily Housing Service Coordinator Program, Page 9
  • Form HUD92456 Semi-annual Performance Report Multifamily Housing Service Coordinator Program, Page 10
Prev 1 2 3 4 5 ... 10 Next
ADVERTISEMENT