Foreign Nonprofit Corporation Application for Amended Certificate of Authority - Wyoming

Notification Icon This version of the form is not currently in use and is provided for reference only. Download this version of the document for the current year.

Foreign Nonprofit Corporation Application for Amended Certificate of Authority - Wyoming

Foreign Nonprofit Corporation Application for Amended Certificate of Authority is a legal document that was released by the Wyoming Secretary of State - a government authority operating within Wyoming.

FAQ

Q: What is a Foreign Nonprofit Corporation Application for Amended Certificate of Authority?
A: It is a form used by a nonprofit corporation to request changes to their Certificate of Authority in the state of Wyoming.

Q: Who needs to file the Foreign Nonprofit Corporation Application for Amended Certificate of Authority in Wyoming?
A: Any nonprofit corporation that is registered as a foreign entity in Wyoming and needs to make changes to their Certificate of Authority.

Q: What changes can be made with the Amended Certificate of Authority?
A: The Amended Certificate of Authority can be used to make changes to the nonprofit corporation's name, registered agent, principal office address, or any other information on the original Certificate of Authority.

Q: Do I need to provide any supporting documents with the application?
A: No, there are no specific supporting documents required for the Amended Certificate of Authority. However, additional documentation may be requested by the Wyoming Secretary of State if needed.

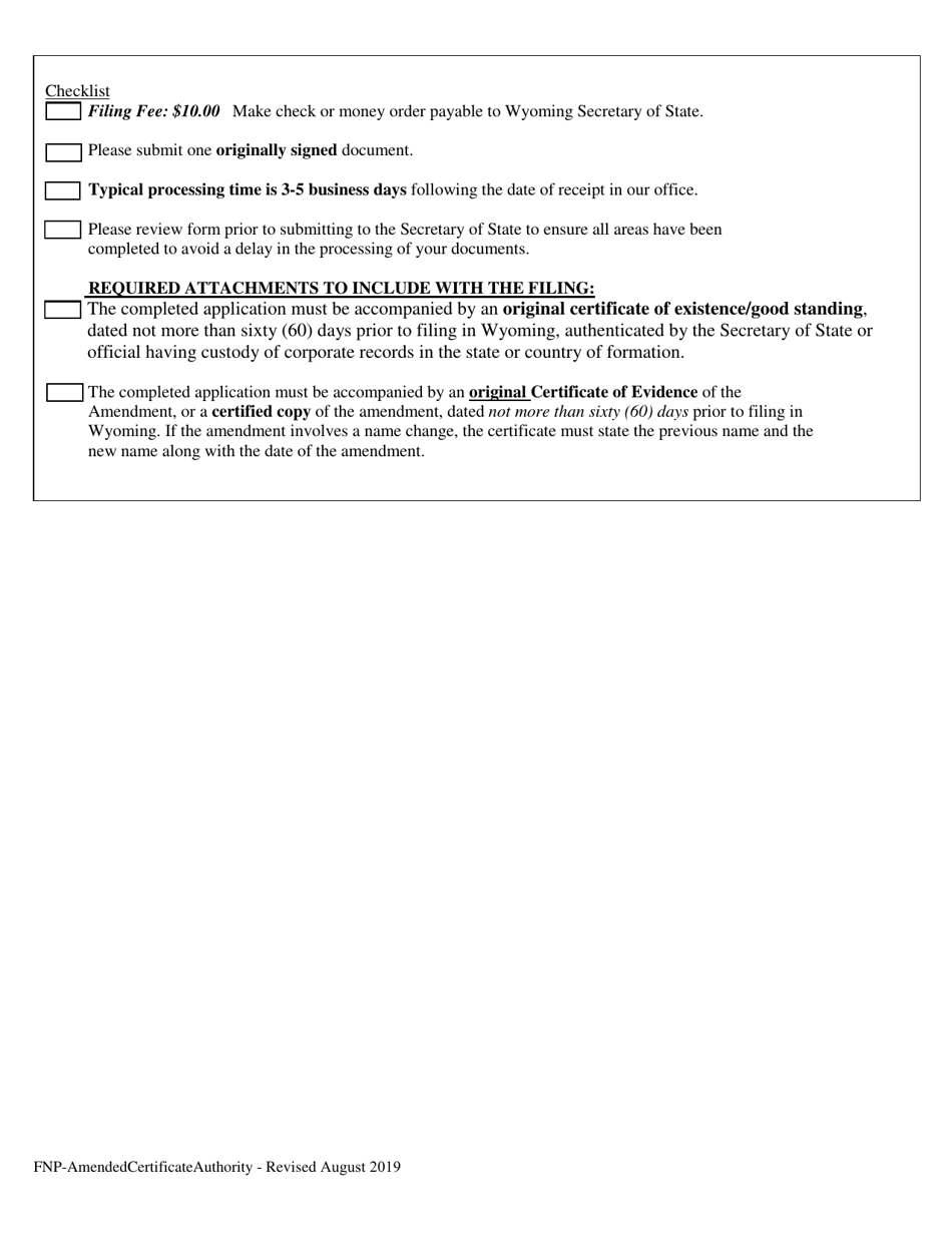
Q: What is the filing fee for the Amended Certificate of Authority?
A: The filing fee for the Amended Certificate of Authority is $50.

Q: How long does it take to process the Amended Certificate of Authority application?
A: The processing time for the Amended Certificate of Authority application is typically within 5-10 business days.

ADVERTISEMENT

Form Details:

  • Released on August 1, 2019;
  • The latest edition currently provided by the Wyoming Secretary of State;
  • Ready to use and print;
  • Easy to customize;
  • Compatible with most PDF-viewing applications;
  • Fill out the form in our online filing application.

Download a fillable version of the form by clicking the link below or browse more documents and templates provided by the Wyoming Secretary of State.

Download Foreign Nonprofit Corporation Application for Amended Certificate of Authority - Wyoming

4.5 of 5 (15 votes)
  • Foreign Nonprofit Corporation Application for Amended Certificate of Authority - Wyoming

    1

  • Foreign Nonprofit Corporation Application for Amended Certificate of Authority - Wyoming, Page 2

    2

  • Foreign Nonprofit Corporation Application for Amended Certificate of Authority - Wyoming, Page 1
  • Foreign Nonprofit Corporation Application for Amended Certificate of Authority - Wyoming, Page 2
Prev 1 2 Next
ADVERTISEMENT