Instructions for Form CFS2000 Day Care Service Eligibility Application - Illinois

Instructions for Form CFS2000 Day Care Service Eligibility Application - Illinois

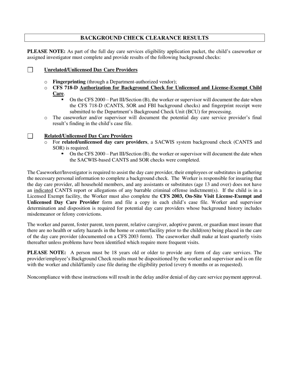
This document contains official instructions for Form CFS2000 , Day Care Service Eligibility Application - a form released and collected by the Illinois Department of Children and Family Services. An up-to-date fillable Form CFS2000 is available for download through this link.

FAQ

Q: What is Form CFS2000?
A: Form CFS2000 is an application for day care service eligibility in Illinois.

Q: Who can use Form CFS2000?
A: Any individual or family in Illinois seeking day care service eligibility can use Form CFS2000.

Q: What does the Form CFS2000 application determine?
A: The Form CFS2000 application determines the eligibility of individuals or families for day care services in Illinois.

Q: Are there any fees associated with submitting Form CFS2000?
A: No, there are no fees associated with submitting Form CFS2000.

Q: What information is required on Form CFS2000?
A: Form CFS2000 requires information about the individual or family applying, including their contact information, income details, and current child care arrangements.

Q: How long does it take to process Form CFS2000?
A: The processing time for Form CFS2000 may vary, but it typically takes a few weeks to receive a response.

Q: What documents should be included with Form CFS2000?
A: Documents such as proof of income, proof of residence, and proof of child's age will need to be included with Form CFS2000.

Q: What happens after submitting Form CFS2000?
A: After submitting Form CFS2000, the application will be reviewed, and the applicant will be notified of their day care service eligibility status.

ADVERTISEMENT

Instruction Details:

  • This 5-page document is available for download in PDF;
  • Actual and applicable for the current year;
  • Complete, printable, and free.

Download your copy of the instructions by clicking the link below or browse hundreds of other forms in our library of forms released by the Illinois Department of Children and Family Services.

Download Instructions for Form CFS2000 Day Care Service Eligibility Application - Illinois

4.4 of 5 (23 votes)
  • Instructions for Form CFS2000 Day Care Service Eligibility Application - Illinois

    1

  • Instructions for Form CFS2000 Day Care Service Eligibility Application - Illinois, Page 2

    2

  • Instructions for Form CFS2000 Day Care Service Eligibility Application - Illinois, Page 3

    3

  • Instructions for Form CFS2000 Day Care Service Eligibility Application - Illinois, Page 4

    4

  • Instructions for Form CFS2000 Day Care Service Eligibility Application - Illinois, Page 5

    5

  • Instructions for Form CFS2000 Day Care Service Eligibility Application - Illinois, Page 1
  • Instructions for Form CFS2000 Day Care Service Eligibility Application - Illinois, Page 2
  • Instructions for Form CFS2000 Day Care Service Eligibility Application - Illinois, Page 3
  • Instructions for Form CFS2000 Day Care Service Eligibility Application - Illinois, Page 4
  • Instructions for Form CFS2000 Day Care Service Eligibility Application - Illinois, Page 5
Prev 1 2 3 4 5 Next
ADVERTISEMENT

Related Documents