Two-Year Chapter 51 / Executive Order 117 Vendor Certification and Disclosure of Political Contributions - New Jersey

Two-Year Chapter 51 / Executive Order 117 Vendor Certification and Disclosure of Political Contributions - New Jersey

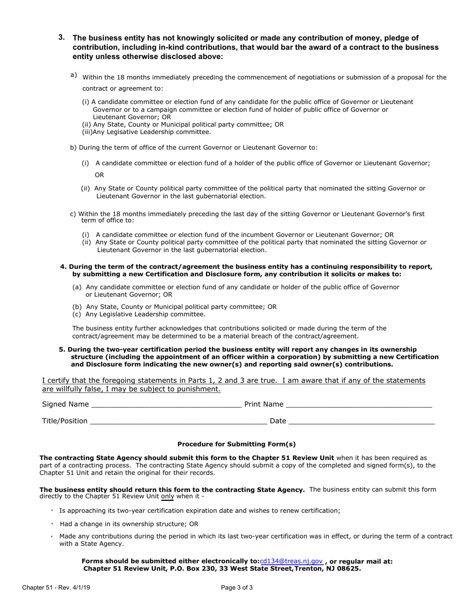
Two-Year Chapter 51/Executive Order 117 Vendor Certification and Disclosure of Political Contributions is a legal document that was released by the New Jersey Department of the Treasury - a government authority operating within New Jersey.

FAQ

Q: What is Two-Year Chapter 51/Executive Order 117?
A: Two-Year Chapter 51/Executive Order 117 is a regulation in New Jersey.

Q: What does the regulation require?
A: The regulation requires vendor certification and disclosure of political contributions.

Q: Who does the regulation apply to?
A: The regulation applies to vendors in New Jersey.

Q: What is vendor certification?
A: Vendor certification is the process of verifying that a vendor is compliant with the regulation.

Q: What are political contributions?
A: Political contributions are donations made to political candidates or parties.

Q: Why are political contributions disclosed?
A: Political contributions are disclosed to promote transparency and prevent corruption.

Q: Is the regulation applicable only to certain types of vendors?
A: No, the regulation applies to all vendors in New Jersey.

ADVERTISEMENT

Form Details:

  • Released on April 1, 2019;
  • The latest edition currently provided by the New Jersey Department of the Treasury;
  • Ready to use and print;
  • Easy to customize;
  • Compatible with most PDF-viewing applications;
  • Fill out the form in our online filing application.

Download a fillable version of the form by clicking the link below or browse more documents and templates provided by the New Jersey Department of the Treasury.

Download Two-Year Chapter 51 / Executive Order 117 Vendor Certification and Disclosure of Political Contributions - New Jersey

4.6 of 5 (33 votes)
  • Two-Year Chapter 51/Executive Order 117 Vendor Certification and Disclosure of Political Contributions - New Jersey

    1

  • Two-Year Chapter 51/Executive Order 117 Vendor Certification and Disclosure of Political Contributions - New Jersey, Page 2

    2

  • Two-Year Chapter 51/Executive Order 117 Vendor Certification and Disclosure of Political Contributions - New Jersey, Page 3

    3

  • Two-Year Chapter 51/Executive Order 117 Vendor Certification and Disclosure of Political Contributions - New Jersey, Page 4

    4

  • Two-Year Chapter 51/Executive Order 117 Vendor Certification and Disclosure of Political Contributions - New Jersey, Page 5

    5

  • Two-Year Chapter 51/Executive Order 117 Vendor Certification and Disclosure of Political Contributions - New Jersey, Page 6

    6

  • Two-Year Chapter 51 / Executive Order 117 Vendor Certification and Disclosure of Political Contributions - New Jersey, Page 1
  • Two-Year Chapter 51 / Executive Order 117 Vendor Certification and Disclosure of Political Contributions - New Jersey, Page 2
  • Two-Year Chapter 51 / Executive Order 117 Vendor Certification and Disclosure of Political Contributions - New Jersey, Page 3
  • Two-Year Chapter 51 / Executive Order 117 Vendor Certification and Disclosure of Political Contributions - New Jersey, Page 4
  • Two-Year Chapter 51 / Executive Order 117 Vendor Certification and Disclosure of Political Contributions - New Jersey, Page 5
  • Two-Year Chapter 51 / Executive Order 117 Vendor Certification and Disclosure of Political Contributions - New Jersey, Page 6
Prev 1 2 3 4 5 6 Next
ADVERTISEMENT