Form DHS1121 Designation or Revocation of an Authorized Representative - Hawaii

Form DHS1121 Designation or Revocation of an Authorized Representative - Hawaii

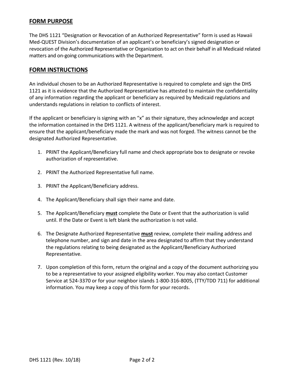
What Is Form DHS1121?

This is a legal form that was released by the Hawaii Department of Human Services - a government authority operating within Hawaii. As of today, no separate filing guidelines for the form are provided by the issuing department.

FAQ

Q: What is DHS1121 form?
A: DHS1121 form is the Designation or Revocation of an Authorized Representative form.

Q: What is the purpose of DHS1121 form?
A: The purpose of DHS1121 form is to designate or revoke an authorized representative for immigration matters.

Q: Who needs to use DHS1121 form?
A: Anyone who wants to designate or revoke an authorized representative for immigration matters in Hawaii needs to use the DHS1121 form.

Q: Is there a fee to file DHS1121 form?
A: No, there is no fee to file DHS1121 form.

Q: What information do I need to provide in DHS1121 form?
A: You need to provide your personal information, the information of the authorized representative, and the reason for designating or revoking the representative in DHS1121 form.

Q: Can I change my authorized representative after filing DHS1121 form?
A: Yes, you can change your authorized representative after filing DHS1121 form by submitting a new form to revoke the previous designation.

Q: What should I do with the completed DHS1121 form?
A: You should keep a copy of the completed DHS1121 form for your records and submit the original form to the appropriate immigration office in Hawaii.

Q: How long does it take to process DHS1121 form?
A: The processing time for DHS1121 form can vary, so it is recommended to check with the immigration office for the most up-to-date information.

ADVERTISEMENT

Form Details:

  • Released on October 1, 2018;
  • The latest edition provided by the Hawaii Department of Human Services;
  • Easy to use and ready to print;
  • Quick to customize;
  • Compatible with most PDF-viewing applications;
  • Fill out the form in our online filing application.

Download a fillable version of Form DHS1121 by clicking the link below or browse more documents and templates provided by the Hawaii Department of Human Services.

Download Form DHS1121 Designation or Revocation of an Authorized Representative - Hawaii

4.4 of 5 (27 votes)
  • Form DHS1121 Designation or Revocation of an Authorized Representative - Hawaii

    1

  • Form DHS1121 Designation or Revocation of an Authorized Representative - Hawaii, Page 2

    2

  • Form DHS1121 Designation or Revocation of an Authorized Representative - Hawaii, Page 1
  • Form DHS1121 Designation or Revocation of an Authorized Representative - Hawaii, Page 2
Prev 1 2 Next
ADVERTISEMENT