Form PG-415 Order Appointing Conservator - Alaska

Notification Icon This version of the form is not currently in use and is provided for reference only. Download this version of Form PG-415 for the current year.

Form PG-415 Order Appointing Conservator - Alaska

What Is Form PG-415?

This is a legal form that was released by the Alaska Superior Court - a government authority operating within Alaska. As of today, no separate filing guidelines for the form are provided by the issuing department.

FAQ

Q: What is a Form PG-415 Order Appointing Conservator?
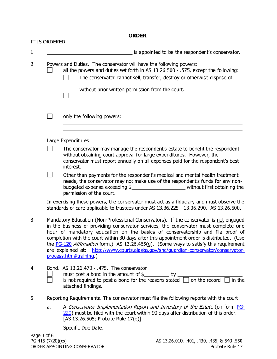
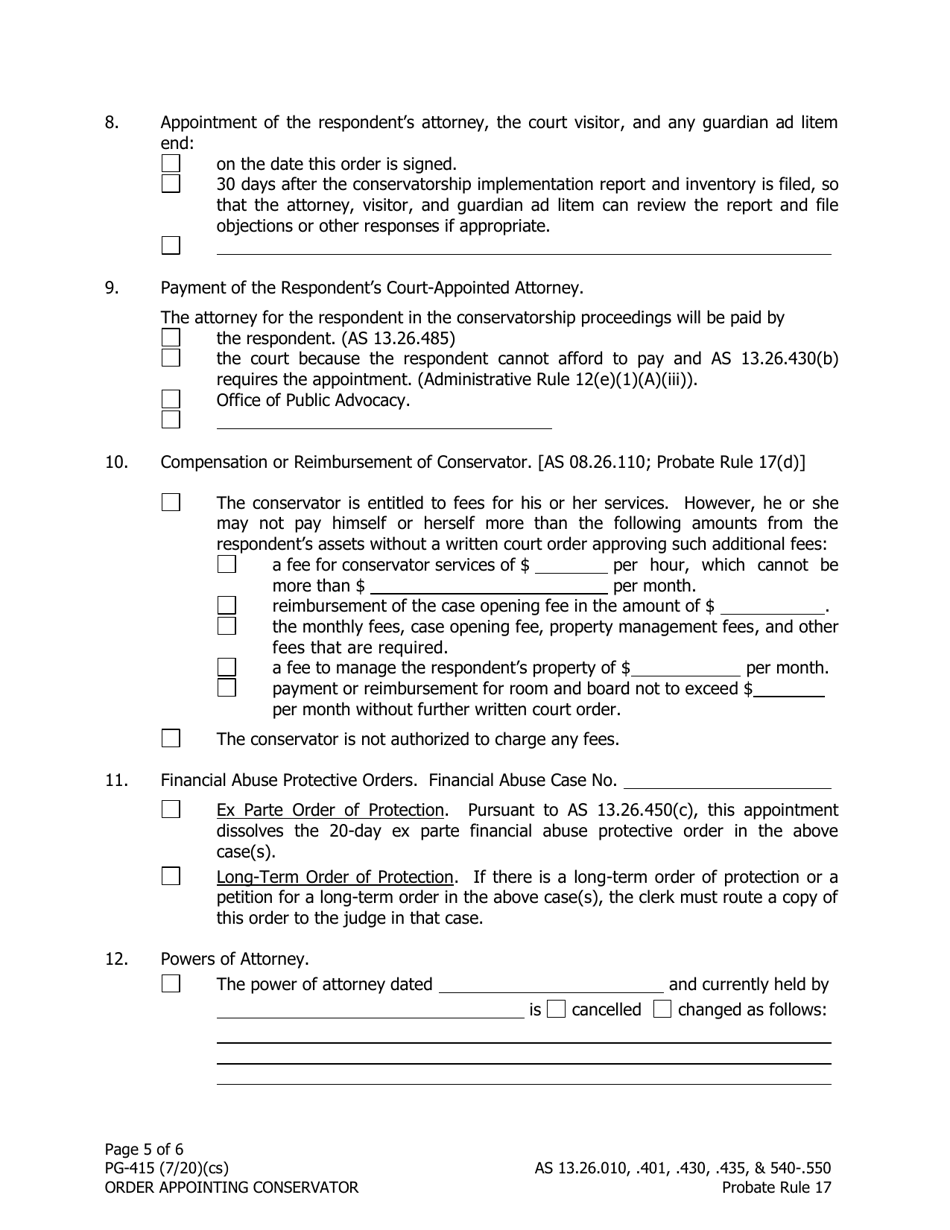
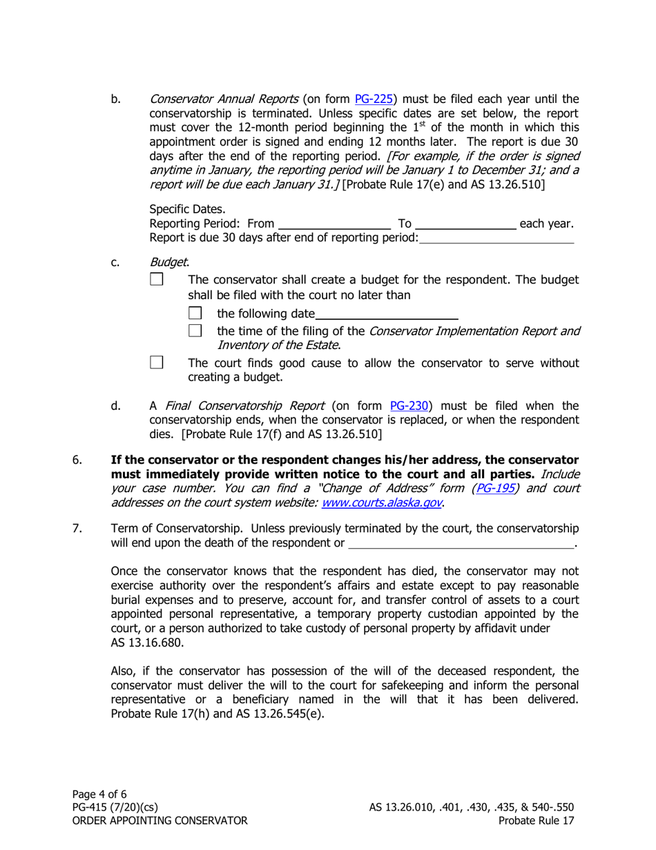
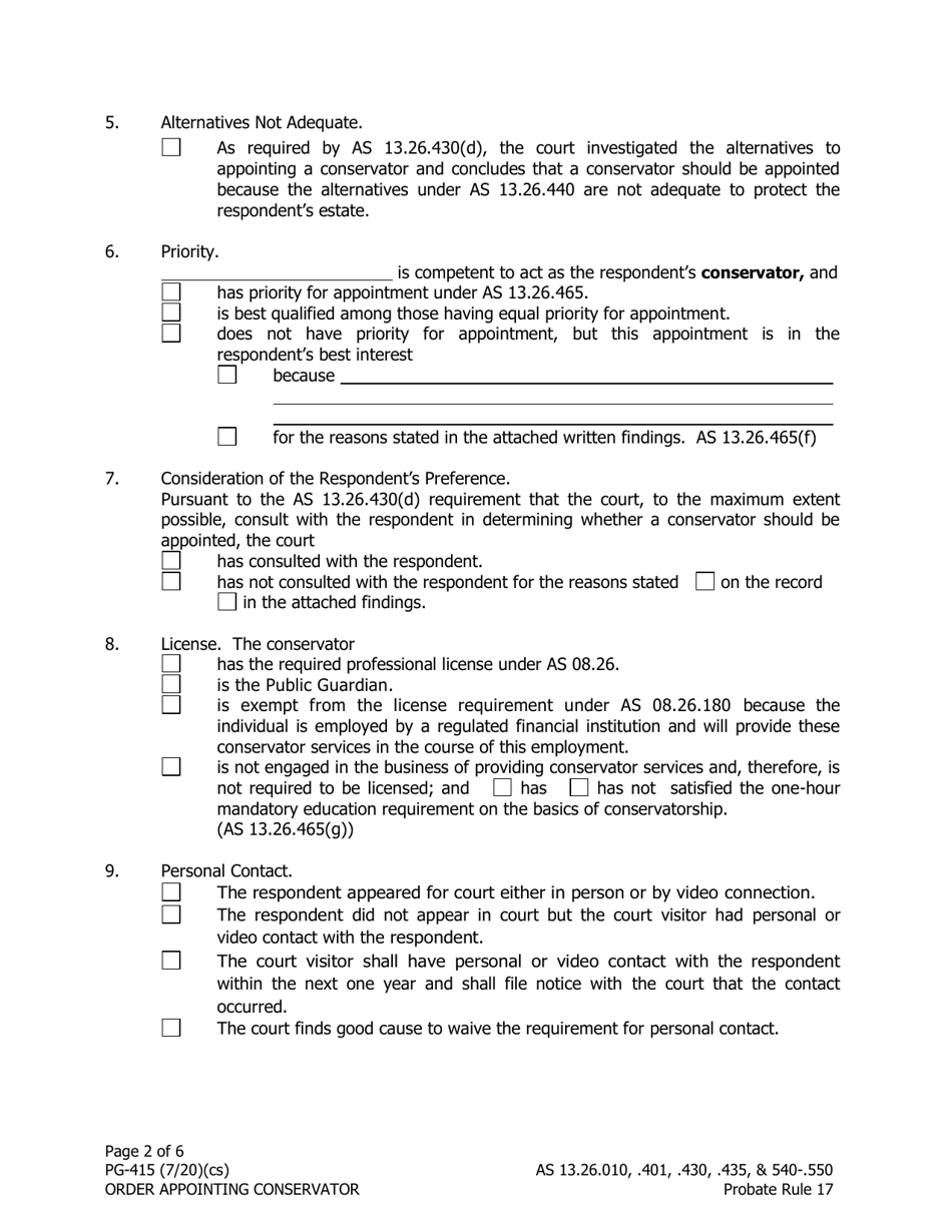
A: Form PG-415 is a legal document used in Alaska to appoint a conservator for an individual who is unable to manage their own financial affairs or make important decisions.

Q: Who can file a Form PG-415 Order Appointing Conservator?
A: Any interested person, such as a family member or caregiver, can file a Form PG-415 to request the appointment of a conservator.

Q: What does a conservator do?
A: A conservator is responsible for managing the financial and personal affairs of a person who is unable to do so themselves. This may include paying bills, making healthcare decisions, and managing assets.

Q: What is the process for obtaining a Form PG-415 Order Appointing Conservator?
A: The process involves filing a petition with the court, providing notice to interested parties, attending a hearing, and obtaining a court order.

Q: What are the requirements to be a conservator?
A: The court will consider the qualifications, skills, and relationship to the person in need of a conservator when appointing a conservator.

Q: Can a conservator be removed or replaced?
A: Yes, a conservator can be removed or replaced by the court if there is evidence of misconduct or if it is in the best interest of the protected person.

Q: Is a conservator financially liable for the protected person's debts?
A: No, a conservator is not personally responsible for the protected person's debts. However, they are responsible for managing the person's finances and paying any outstanding debts with the person's assets.

Q: Can a conservator make decisions about medical treatment?
A: Yes, a conservator can make decisions about medical treatment on behalf of the protected person, if authorized by the court.

Q: Is it possible to contest a Form PG-415 Order Appointing Conservator?
A: Yes, interested parties can contest a Form PG-415 Order Appointing Conservator by filing an objection with the court and presenting evidence.

Q: Is a conservatorship permanent?
A: A conservatorship can be temporary or permanent, depending on the circumstances. The court will regularly review the conservatorship to ensure it is still necessary.

ADVERTISEMENT

Form Details:

  • Released on July 1, 2020;
  • The latest edition provided by the Alaska Superior Court;
  • Easy to use and ready to print;
  • Quick to customize;
  • Compatible with most PDF-viewing applications;
  • Fill out the form in our online filing application.

Download a fillable version of Form PG-415 by clicking the link below or browse more documents and templates provided by the Alaska Superior Court.

Download Form PG-415 Order Appointing Conservator - Alaska

4.6 of 5 (30 votes)
  • Form PG-415 Order Appointing Conservator - Alaska

    1

  • Form PG-415 Order Appointing Conservator - Alaska, Page 2

    2

  • Form PG-415 Order Appointing Conservator - Alaska, Page 3

    3

  • Form PG-415 Order Appointing Conservator - Alaska, Page 4

    4

  • Form PG-415 Order Appointing Conservator - Alaska, Page 5

    5

  • Form PG-415 Order Appointing Conservator - Alaska, Page 6

    6

  • Form PG-415 Order Appointing Conservator - Alaska, Page 1
  • Form PG-415 Order Appointing Conservator - Alaska, Page 2
  • Form PG-415 Order Appointing Conservator - Alaska, Page 3
  • Form PG-415 Order Appointing Conservator - Alaska, Page 4
  • Form PG-415 Order Appointing Conservator - Alaska, Page 5
  • Form PG-415 Order Appointing Conservator - Alaska, Page 6
Prev 1 2 3 4 5 6 Next
ADVERTISEMENT