Form GAC5-UM Petition for Appointment of Guardian and Conservator (Minor) - Minnesota

Notification Icon This version of the form is not currently in use and is provided for reference only. Download this version of Form GAC5-UM for the current year.

Form GAC5-UM Petition for Appointment of Guardian and Conservator (Minor) - Minnesota

What Is Form GAC5-UM?

This is a legal form that was released by the Minnesota District Courts - a government authority operating within Minnesota. As of today, no separate filing guidelines for the form are provided by the issuing department.

FAQ

Q: What is Form GAC5-UM?
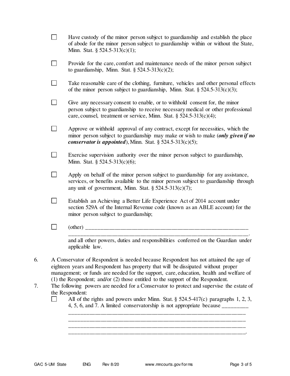
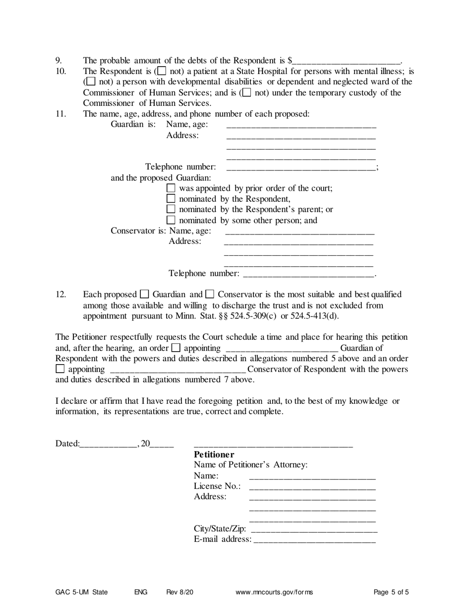
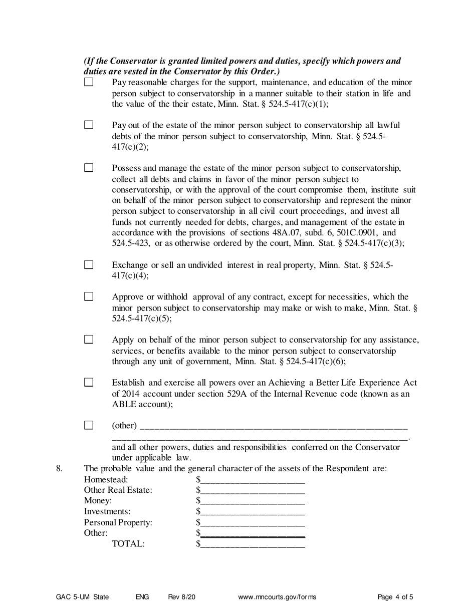
A: Form GAC5-UM is a petition for the appointment of a guardian and conservator for a minor in Minnesota.

Q: Who can file Form GAC5-UM?
A: Any interested person, such as a parent or relative, can file Form GAC5-UM.

Q: What is the purpose of Form GAC5-UM?
A: The purpose of Form GAC5-UM is to request the court to appoint a guardian and conservator to make decisions on behalf of a minor child.

Q: What does a guardian and conservator do?
A: A guardian is responsible for the care and custody of a minor, while a conservator manages the minor's financial affairs.

ADVERTISEMENT

Form Details:

  • Released on August 1, 2020;
  • The latest edition provided by the Minnesota District Courts;
  • Easy to use and ready to print;
  • Quick to customize;
  • Compatible with most PDF-viewing applications;
  • Fill out the form in our online filing application.

Download a printable version of Form GAC5-UM by clicking the link below or browse more documents and templates provided by the Minnesota District Courts.

Download Form GAC5-UM Petition for Appointment of Guardian and Conservator (Minor) - Minnesota

4.6 of 5 (32 votes)
  • Form GAC5-UM Petition for Appointment of Guardian and Conservator (Minor) - Minnesota

    1

  • Form GAC5-UM Petition for Appointment of Guardian and Conservator (Minor) - Minnesota, Page 2

    2

  • Form GAC5-UM Petition for Appointment of Guardian and Conservator (Minor) - Minnesota, Page 3

    3

  • Form GAC5-UM Petition for Appointment of Guardian and Conservator (Minor) - Minnesota, Page 4

    4

  • Form GAC5-UM Petition for Appointment of Guardian and Conservator (Minor) - Minnesota, Page 5

    5

  • Form GAC5-UM Petition for Appointment of Guardian and Conservator (Minor) - Minnesota, Page 1
  • Form GAC5-UM Petition for Appointment of Guardian and Conservator (Minor) - Minnesota, Page 2
  • Form GAC5-UM Petition for Appointment of Guardian and Conservator (Minor) - Minnesota, Page 3
  • Form GAC5-UM Petition for Appointment of Guardian and Conservator (Minor) - Minnesota, Page 4
  • Form GAC5-UM Petition for Appointment of Guardian and Conservator (Minor) - Minnesota, Page 5
Prev 1 2 3 4 5 Next
ADVERTISEMENT