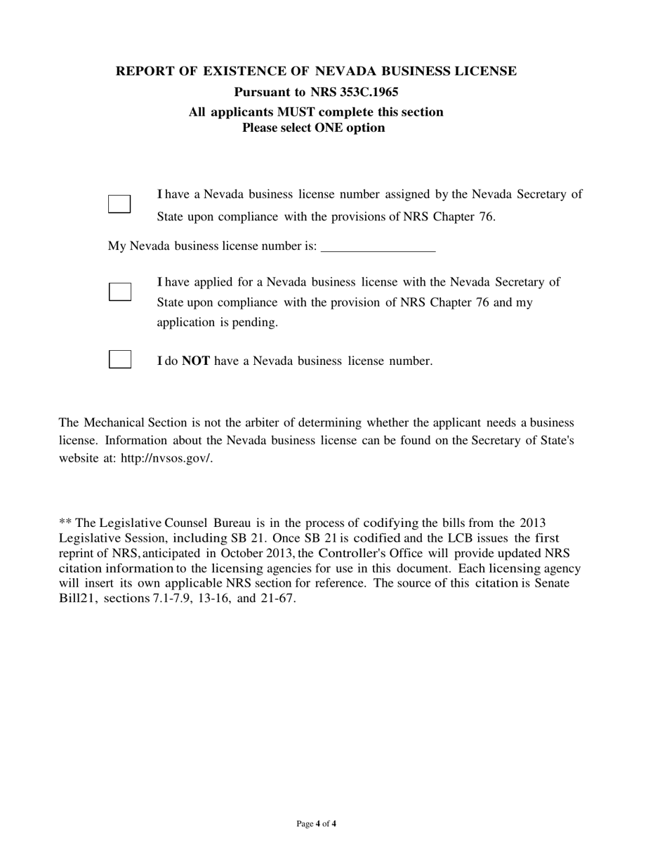
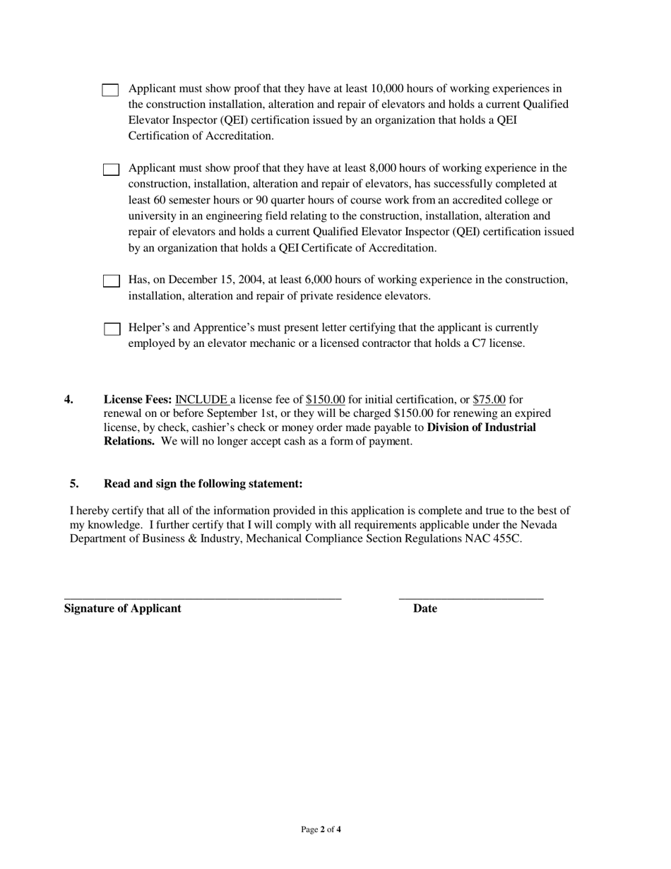
Application for Issuance or Renewal of Id Card or Work Card for Elevator Mechanic, Apprentice, or Helper - Nevada

Application for Issuance or Renewal of Id Card or Work Card for Elevator Mechanic, Apprentice, or Helper - Nevada

Application for Issuance or Renewal of Id Card or Elevator Mechanic, Apprentice, or Helper is a legal document that was released by the Nevada Department of Business and Industry - a government authority operating within Nevada.

FAQ

Q: What is the application for?
A: Issuance or renewal of ID card or work card for elevator mechanic, apprentice, or helper

Q: Who is eligible to apply?
A: Elevator mechanics, apprentices, or helpers in Nevada

Q: What is the purpose of an ID card or work card?
A: To identify and certify individuals as elevator mechanics, apprentices, or helpers

Q: What are the requirements for the application?
A: Please refer to the specific application form for detailed requirements

Q: Are there any fees associated with the application?
A: Yes, there are fees for the issuance or renewal of ID cards or work cards. Refer to the application form for the fee schedule

Q: How long does it take to process the application?
A: Processing times may vary. Contact the Nevada State Contractors Board for more information

Q: What is the validity period of the ID card or work card?
A: The validity period is specified on the card. Renewal is required before the expiration date

Q: Can I use the ID card or work card in other states?
A: The ID card or work card is specifically issued for Nevada. Contact the relevant authorities in other states for their requirements

ADVERTISEMENT

Form Details:

  • The latest edition currently provided by the Nevada Department of Business and Industry;
  • Ready to use and print;
  • Easy to customize;
  • Compatible with most PDF-viewing applications;
  • Fill out the form in our online filing application.

Download a printable version of the form by clicking the link below or browse more documents and templates provided by the Nevada Department of Business and Industry.

Download Application for Issuance or Renewal of Id Card or Work Card for Elevator Mechanic, Apprentice, or Helper - Nevada

4.8 of 5 (10 votes)
  • Application for Issuance or Renewal of Id Card or Work Card for Elevator Mechanic, Apprentice, or Helper - Nevada

    1

  • Application for Issuance or Renewal of Id Card or Work Card for Elevator Mechanic, Apprentice, or Helper - Nevada, Page 2

    2

  • Application for Issuance or Renewal of Id Card or Work Card for Elevator Mechanic, Apprentice, or Helper - Nevada, Page 3

    3

  • Application for Issuance or Renewal of Id Card or Work Card for Elevator Mechanic, Apprentice, or Helper - Nevada, Page 4

    4

  • Application for Issuance or Renewal of Id Card or Work Card for Elevator Mechanic, Apprentice, or Helper - Nevada, Page 1
  • Application for Issuance or Renewal of Id Card or Work Card for Elevator Mechanic, Apprentice, or Helper - Nevada, Page 2
  • Application for Issuance or Renewal of Id Card or Work Card for Elevator Mechanic, Apprentice, or Helper - Nevada, Page 3
  • Application for Issuance or Renewal of Id Card or Work Card for Elevator Mechanic, Apprentice, or Helper - Nevada, Page 4
Prev 1 2 3 4 Next
ADVERTISEMENT

Related Documents