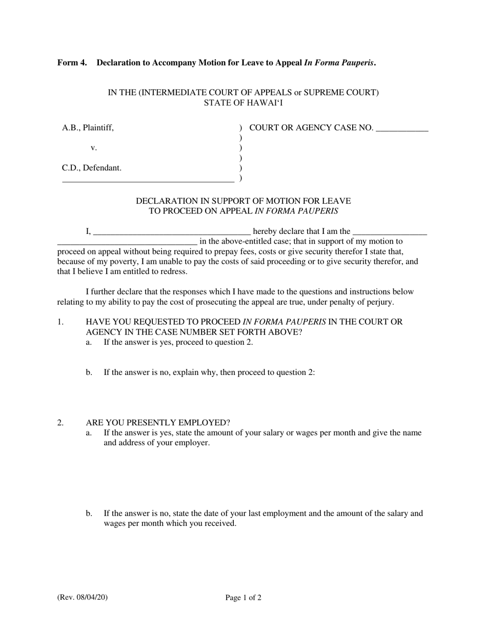
Form 4 Declaration to Accompany Motion for Leave to Appeal in Forma Pauperis - Hawaii

Form 4 Declaration to Accompany Motion for Leave to Appeal in Forma Pauperis - Hawaii

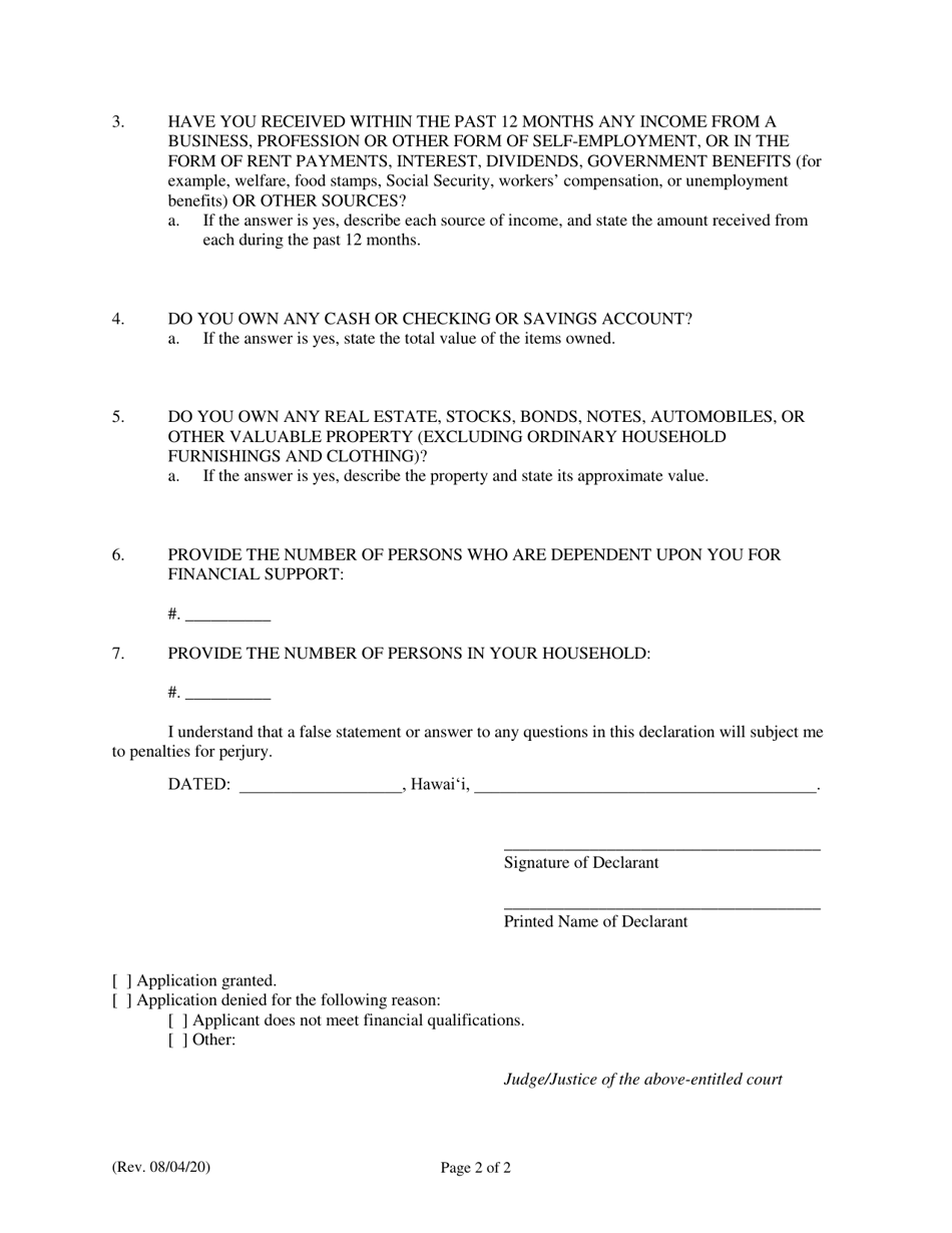
What Is Form 4?

This is a legal form that was released by the Hawaii State Judiciary - a government authority operating within Hawaii. As of today, no separate filing guidelines for the form are provided by the issuing department.

FAQ

Q: What is Form 4 Declaration to Accompany Motion for Leave to Appeal in Forma Pauperis?
A: Form 4 Declaration to Accompany Motion for Leave to Appeal in Forma Pauperis is a legal document used in Hawaii.

Q: When is Form 4 Declaration to Accompany Motion for Leave to Appeal in Forma Pauperis used?
A: Form 4 Declaration is used when someone wants to appeal a court decision but cannot afford the associated costs.

Q: What does Form 4 Declaration include?
A: Form 4 Declaration includes information about the appellant's financial situation and why they cannot afford to pay for the appeal.

Q: Who can use Form 4 Declaration?
A: Anyone who cannot afford the costs of appealing a court decision in Hawaii can use Form 4 Declaration.

Q: Is there a fee to file Form 4 Declaration?
A: No, there is no fee to file Form 4 Declaration.

Q: What is the purpose of Form 4 Declaration?
A: The purpose of Form 4 Declaration is to allow individuals who cannot afford to pay for an appeal to request to proceed in forma pauperis.

Q: What happens after filing Form 4 Declaration?
A: After filing Form 4 Declaration, the court will review the information provided and determine if the appellant is eligible to proceed with the appeal in forma pauperis.

ADVERTISEMENT

Form Details:

  • Released on August 4, 2020;
  • The latest edition provided by the Hawaii State Judiciary;
  • Easy to use and ready to print;
  • Quick to customize;
  • Compatible with most PDF-viewing applications;
  • Fill out the form in our online filing application.

Download a printable version of Form 4 by clicking the link below or browse more documents and templates provided by the Hawaii State Judiciary.

Download Form 4 Declaration to Accompany Motion for Leave to Appeal in Forma Pauperis - Hawaii

4.6 of 5 (29 votes)
  • Form 4 Declaration to Accompany Motion for Leave to Appeal in Forma Pauperis - Hawaii

    1

  • Form 4 Declaration to Accompany Motion for Leave to Appeal in Forma Pauperis - Hawaii, Page 2

    2

  • Form 4 Declaration to Accompany Motion for Leave to Appeal in Forma Pauperis - Hawaii, Page 3

    3

  • Form 4 Declaration to Accompany Motion for Leave to Appeal in Forma Pauperis - Hawaii, Page 4

    4

  • Form 4 Declaration to Accompany Motion for Leave to Appeal in Forma Pauperis - Hawaii, Page 5

    5

  • Form 4 Declaration to Accompany Motion for Leave to Appeal in Forma Pauperis - Hawaii, Page 1
  • Form 4 Declaration to Accompany Motion for Leave to Appeal in Forma Pauperis - Hawaii, Page 2
  • Form 4 Declaration to Accompany Motion for Leave to Appeal in Forma Pauperis - Hawaii, Page 3
  • Form 4 Declaration to Accompany Motion for Leave to Appeal in Forma Pauperis - Hawaii, Page 4
  • Form 4 Declaration to Accompany Motion for Leave to Appeal in Forma Pauperis - Hawaii, Page 5
Prev 1 2 3 4 5 Next
ADVERTISEMENT