Application for a Permit to Operate an Industrial Source, Incinerator or Fuel-Burning Equipment - Prince Edward Island, Canada

Notification Icon This version of the form is not currently in use and is provided for reference only. Download this version of the document for the current year.

Application for a Permit to Operate an Industrial Source, Incinerator or Fuel-Burning Equipment - Prince Edward Island, Canada

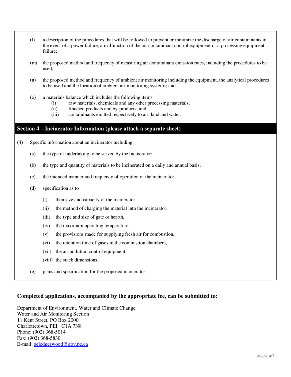
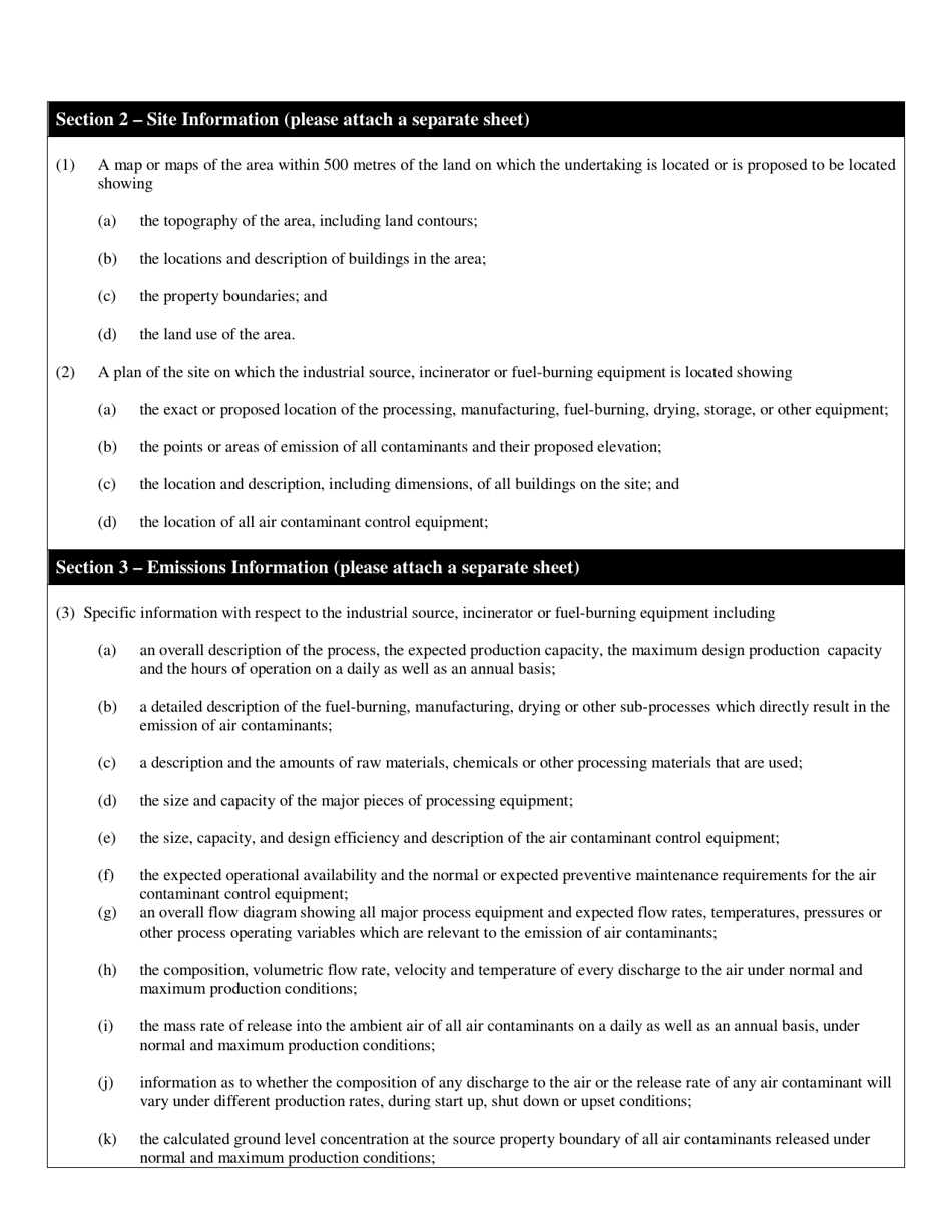
The Application for a Permit to Operate an Industrial Source, Incinerator or Fuel-Burning Equipment in Prince Edward Island, Canada is for obtaining permission to operate such equipment. The permit ensures that the equipment meets environmental and safety standards set by the government.

The application for a permit to operate an industrial source, incinerator, or fuel-burning equipment in Prince Edward Island, Canada is typically filed by the operator or owner of the facility.

FAQ

Q: What is the purpose of this document?
A: The purpose of this document is to apply for a permit to operate an industrial source, incinerator, or fuel-burning equipment in Prince Edward Island, Canada.

Q: Who needs to apply for this permit?
A: Anyone operating an industrial source, incinerator, or fuel-burning equipment in Prince Edward Island, Canada needs to apply for this permit.

Q: How do I apply for this permit?
A: To apply for this permit, you need to complete the application form and submit it to the appropriate authority in Prince Edward Island, Canada.

Q: What is the application process?
A: The application process involves completing the application form, providing necessary documentation, and paying the required fees. The authorities will review your application and determine whether to issue the permit.

Q: What are the fees for this permit?
A: The fees for this permit vary depending on the type and size of the industrial source, incinerator, or fuel-burning equipment being operated. You should contact the authorities for specific fee information.

Q: How long does it take to process the application?
A: The processing time for the application varies depending on the complexity of the project and the completeness of the application. It is recommended to submit the application well in advance to allow for sufficient processing time.

Q: What are the consequences of operating without a permit?
A: Operating without a permit is a violation of the law and can result in penalties, fines, or other legal consequences. It is important to obtain the necessary permit before operating any industrial source, incinerator, or fuel-burning equipment.

Q: Can I renew my permit?
A: Yes, permits can usually be renewed by submitting a renewal application and paying the applicable fees. It is important to renew the permit before it expires to ensure continuous operation.

Q: Are there any restrictions or regulations for operating industrial sources, incinerators, or fuel-burning equipment?
A: Yes, there are restrictions and regulations in place to ensure proper operation and environmental protection. You should familiarize yourself with the specific requirements and comply with them.

Q: Who should I contact for more information?
A: For more information, you should contact the appropriate authority in Prince Edward Island, Canada responsible for issuing permits for industrial sources, incinerators, or fuel-burning equipment.

ADVERTISEMENT

Download Application for a Permit to Operate an Industrial Source, Incinerator or Fuel-Burning Equipment - Prince Edward Island, Canada

4.5 of 5 (22 votes)
  • Application for a Permit to Operate an Industrial Source, Incinerator or Fuel-Burning Equipment - Prince Edward Island, Canada

    1

  • Application for a Permit to Operate an Industrial Source, Incinerator or Fuel-Burning Equipment - Prince Edward Island, Canada, Page 2

    2

  • Application for a Permit to Operate an Industrial Source, Incinerator or Fuel-Burning Equipment - Prince Edward Island, Canada, Page 3

    3

  • Application for a Permit to Operate an Industrial Source, Incinerator or Fuel-Burning Equipment - Prince Edward Island, Canada, Page 1
  • Application for a Permit to Operate an Industrial Source, Incinerator or Fuel-Burning Equipment - Prince Edward Island, Canada, Page 2
  • Application for a Permit to Operate an Industrial Source, Incinerator or Fuel-Burning Equipment - Prince Edward Island, Canada, Page 3
Prev 1 2 3 Next
ADVERTISEMENT

Related Documents