Form IMM5650 Offer of Employment to a Foreign National - Atlantic Immigration Pilot - Canada

Notification Icon This version of the form is not currently in use and is provided for reference only. Download this version of Form IMM5650 for the current year.

Notification Icon To edit this document, please download and fill it out with Adobe Reader.

Form IMM5650 Offer of Employment to a Foreign National - Atlantic Immigration Pilot - Canada

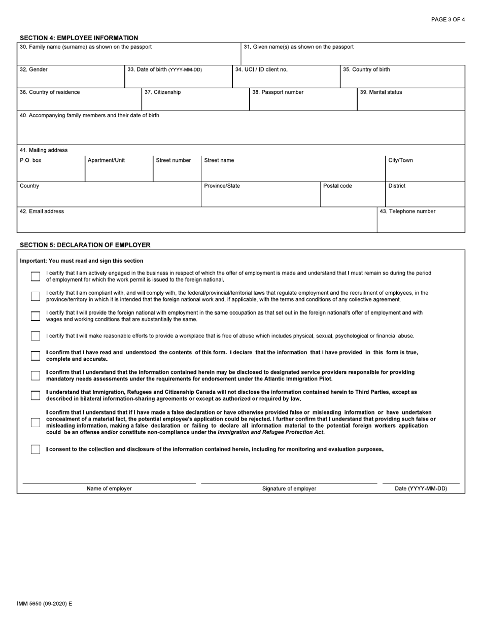
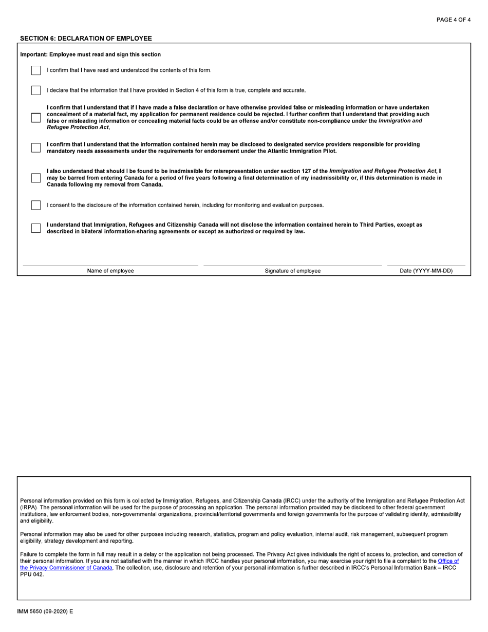
Form IMM5650, Offer of Employment to a Foreign National - Atlantic Immigration Pilot - Canada, is used by employers in the Atlantic provinces of Canada to offer employment to a foreign national under the Atlantic Immigration Pilot program. This form is required as part of the application process for individuals seeking to immigrate to Canada through the pilot program.

The employer files the Form IMM5650 Offer of Employment to a Foreign National for the Atlantic Immigration Pilot in Canada.

FAQ

Q: What is Form IMM5650?
A: Form IMM5650 is the Offer of Employment to a Foreign National - Atlantic Immigration Pilot form.

Q: What is the Atlantic Immigration Pilot program?
A: The Atlantic Immigration Pilot program is a program designed to attract skilled workers to the Atlantic provinces of Canada.

Q: Who is the form IMM5650 for?
A: Form IMM5650 is for employers who want to make a job offer to a foreign national under the Atlantic Immigration Pilot program.

Q: What information is required in Form IMM5650?
A: Form IMM5650 requires information about the employer, the job offer, and the foreign national.

Q: Do I need to fill out Form IMM5650 if I am a foreign national?
A: No, Form IMM5650 should be filled out by the employer making the job offer, not the foreign national.

Q: What are the eligibility requirements for the Atlantic Immigration Pilot program?
A: The eligibility requirements for the Atlantic Immigration Pilot program vary for different categories, such as high-skilled workers, intermediate-skilled workers, and international graduates.

Q: Can I use Form IMM5650 for other immigration programs in Canada?
A: No, Form IMM5650 is specifically for the Atlantic Immigration Pilot program and cannot be used for other immigration programs.

Q: Is there a fee for submitting Form IMM5650?
A: No, there is no fee for submitting Form IMM5650.

Q: How long does it take to process Form IMM5650?
A: Processing times for Form IMM5650 vary and can depend on various factors, such as the completeness of the application and the workload of the immigration authorities.

ADVERTISEMENT

Download Form IMM5650 Offer of Employment to a Foreign National - Atlantic Immigration Pilot - Canada

4.7 of 5 (20 votes)
  • Form IMM5650 Offer of Employment to a Foreign National - Atlantic Immigration Pilot - Canada

    1

  • Form IMM5650 Offer of Employment to a Foreign National - Atlantic Immigration Pilot - Canada, Page 2

    2

  • Form IMM5650 Offer of Employment to a Foreign National - Atlantic Immigration Pilot - Canada, Page 3

    3

  • Form IMM5650 Offer of Employment to a Foreign National - Atlantic Immigration Pilot - Canada, Page 4

    4

  • Form IMM5650 Offer of Employment to a Foreign National - Atlantic Immigration Pilot - Canada, Page 1
  • Form IMM5650 Offer of Employment to a Foreign National - Atlantic Immigration Pilot - Canada, Page 2
  • Form IMM5650 Offer of Employment to a Foreign National - Atlantic Immigration Pilot - Canada, Page 3
  • Form IMM5650 Offer of Employment to a Foreign National - Atlantic Immigration Pilot - Canada, Page 4
Prev 1 2 3 4 Next
ADVERTISEMENT